Q.1. Name the female hormone produced by ovaries that helps in development of mammary glands.
Ans: Oestrogen is the female hormone produced by ovaries that help in development of breasts/mammary glands.
Q.2. In a village, a girl of 12 years was married to a boy of 24 years. Is this marriage legal?
Ans: No, this marriage is not legal as the marriageable age according to Indian law is 18 years for girls.
Q.3. If people do not have enough iodine in their diet, will they get goitre caused by lack of thyroxine?
Ans: Yes, because the thyroxine production requires the presence of iodine So, if iodine is deficient in diet, thyroxine production reduces and goitre is caused.
Q.4. A woman of 30 years has stopped menstruating and there is no ovulation as well. What can be inferred from this?
Ans: The woman is probably pregnant.
Q.5. Are hormones responsible for controlling the change from tadpole to frog? If so, name the hormone.
Ans: Yes, thyroxine hormone is responsible for controlling the change from tadpole to frog, i.e., metamorphosis.
Q.6. A sex chromosome is responsible for determining the sex of the baby; Give its name.
Ans: Y is the sex chromosome that determines the sex of baby.
Q.7. Name the hormone which brings about metamorphosis in silk moth.
Ans: Insect hormones bring about metamorphosis in silk moth.
Q.8. If personal hygiene is not maintained, what is most likely to happen?
Ans: If personal hygiene is not maintained, there are chances of catching bacterial infections.
Q.9. The WHO has given a term for 'the state of physical, mental and social well-being. What is it?
Ans: An individual's health is defined as the state of physical, mental and social well-being.
Q.10. Out the two sexes of humans, which one has a longer reproductive phase of life?
Ans: Men have a longer reproductive phase of life than women.
Q.11. What is the term used for secretions of endocrine glands responsible for changes taking place in the body?
Ans: Hormone is the term used for secretions of endocrine glands responsible for changes taking place in the body.
Q.12. Define adolescence.
Ans: Adolescence is the period of life, in which organisms become reproductively active.
In other words, it is the period of attaining reproductive maturity in boys and girls, which starts from 11-13 years and lasts upto 18-19 years in humans.
Q.13. What is menstruation? Explain.
Ans: Menstruation is the monthly reproductive cycle that occurs in women once in about 28-30 days. It is the release of unfertilised egg along with blood. If the egg released from ovary does not get fertilised, the released egg and the thickened lining of uterus along with its blood is released out from body.
Q.14. List changes in the body that take place at puberty.
Ans: At puberty, the body undergoes following changes:
(i) Boys and girls become capable of reproduction.
(ii) Sudden increase in height.
(iii) Broad shoulders and wide chests in boys and region below the waist becomes wider in girls.
(iv) Growth of hairs on different parts of the body.
(v) Voice of girls becomes high pitched and that of boys becomes deep.
(vi) Secretions of sweat and sebaceous glands increase.
(vii) Sex organs become active. In boys, testes start to form sperms and in girls, ovaries start to produce egg.
(viii) Changes at mental, intellectual and emotional level.
Q.15. Prepare a table having two columns depicting names of endocrine glands and hormones secreted by them.
Ans: The table is shown as below:
|
Endocrine gland |
Hormone |
|
Thyroid |
Thyroxine |
|
Pancreas |
Insulin |
|
Adrenal glands |
Adrenaline |
|
Ovaries |
Oestrogen |
|
Testes |
Testosterone |
Q.16. What are sex hormones? Why are they named so? State their functions.
Ans: The hormones which are responsible for the male and female secondary sexual characters are called sex hormones. They are called sex hormones as they control the sexual activities and help us to distinguish boys from girls.
In boys, sex hormones control formation of sperms by testes and growth of facial hair, etc. and in girls, they help to develop breasts, control menstrual cycle, etc.
Q.17. Choose the correct option.
(a) Adolescents should be careful about what they eat, because
(i) proper diet develops their brains.
(ii) proper diet is needed for the rapid growth taking place in their body.
(iii) adolescents feel hungry all the time.
(iv) taste buds are well developed in teenagers.
(b) Reproductive age in women starts when their
(i) menstruation starts
(ii) breasts start developing
(iii) body weight increases
(iv) height increases
(c) The right meal for adolescents consists of
(i) chips, noodles, cake
(ii) chapatti, dal, vegetables
(iii) rice, noodles and burger
(iv) vegetable cutlets, chips and lemon drink
Ans:
(a) (ii) Adolescents should be careful about what they eat because proper diet is needed for the rapid growth taking place in their body.
(b) (i) Reproductive age in women starts when their menstruation starts.
(c) (ii) The right meal for adolescents consists of chapatti, dal and vegetables.
Q.18. Write notes on
(a) Adam's apple.
(b) Secondary sexual characters.
(c) Sex determination of the unborn baby.
Ans:
(a) Adam's apple: The protruding part of the growing voice box is called Adam's apple in males. In boys, voice box (larynx) develops larger than girls and this protruding part is seen as bulge in the neck area.
(b) Secondary sexual characters: The physical features that help to distinguish the males from the females are called secondary sexual characters. These characters develop at the time of puberty. The secondary sexual characteristics in humans are given below:
In males,
(i) Growth of pubic hair, beard and moustaches.
(ii) Hair on chest and underarms.
In females,
(i) Enlargement of breast.
(ii) Appearance of pubic hair, hair under arms.
(c) Sex determination of the unborn baby Sex of the unborn baby is determined by the sex chromosomes, i.e., X and Y. A female has two X-chromosomes, while a male has one X and one Y-chromosome.
In females, the gamete, i.e., egg has only one X-chromosome but in males, the sperm, i.e., male gamete may have an X-chromosome or Y-chromosome. If the egg fertilises with sperm containing X-chromosome, the zygote will develop into a female (XX) and if the egg fertilises with sperm containing Y-chromosome, the zygote will develop into a male (XY).
Q.19. Name the hormone that is released by testes at the onset of puberty.
Ans: Testosterone is the male hormone which is released from the testes at the onset of puberty.
Q.20. State whether the period between childhood and adulthood has a special name. If yes, what is it?
Ans: Yes, the period between childhood and adulthood has a special name which is called adolescence.
Q.21. A conspicuous change in boys and girls during puberty occurs. Mention it.
Ans: Increase in height is the most conspicuous change during puberty in boys and girls.
Q.22. Give a suitable word for each of the following statements.
(a) The site which responds to a hormone.
(b) Name of a gland which transports secretions through ducts.
(c) Chemicals, which control changes at adolescence stage.
(d) It marks the beginning of reproductive period.
Ans: (a) Target site (b) Sweat glands (c) Hormones (d) Puberty
Q.23. Adolescence is the period from 13-19 years of age. Is there any other term for this period?
Ans: Yes, the other term for adolescence is teenage.
Q.24. Do all the parts of the body grow at the same rate?
Ans: No, all the parts of the body do not grow at the same rate.
Q.25. Roshni (11 years old) was worried about the changes in her body. How long do you think this period marked by changes in the body will last?
Ans: This period of changes, i.e., adolescence begins around the age of 11 and lasts upto 18 or 19 years.
Q.26. Name a natural balanced food for infants.
Ans: Mother's milk.
Q.27. A thread-like structure is present in nucleus. What is it called?
Ans: The thread-like structures in the nucleus are called chromosomes.
Q.28. Some characters distinguish a boy from a girl. What are they called as?
Ans: Secondary sexual characters distinguish a boy from a girl.
Q.29. XX or XV, state the combination of sex chromosomes that produces a male child?
Ans: XY combination of sex chromosomes produces a male child.
Q.30. The nucleus of a cell contains chromosomes for inheritance. How many chromosomes are there in the nuclei of human cell?
Ans: The nucleus of each human cell contains 23 pairs of chromosomes.
Q.31. A substance is known to be continuously needed by thyroid gland to make thyroxine. Name it.
Ans: Iodine is continuously needed by thyroid gland to make thyroxine.
Q.32. A hormone is necessary for normal growth of a person. Give its name and the source.
Ans: Growth hormone from pituitary gland is necessary for normal growth of a person.
Q.33. Name the other term for 'adolescents'.
Ans: Teenagers can be used as a substitute for adolescents.
Q.34. What is the common name of the bulge (or projection) at the front of throat in grown up boys?
Ans: Adam's apple.
Q.35. Which of the following combination of sex chromosomes produces a male child (boy)? XX or XY.
Ans: XY.
Q.36. During which time, the adolescent girls should take special care of personal hygiene?
Ans: Adolescent girls should take special care of cleanliness during the time of menstrual flow.
Q.37. State the function of male sex hormone testosterone.
Ans: Testosterone is involved in the development and controls to the reproductive organs and secondary sexual characteristics.
Q.38. Which comes earlier in the life of a woman menarche or menopause?
Ans: The reproductive life of a woman starts at menarche and ends at menopause. Thus, menarche comes earlier.
Q.39. State one situation (other than menopause) when ovulation and menstruation stop in a woman.
Ans: In case of pregnancy, ovulation and menstruation stop in a woman.
Q.40. Name the hormone whose deficiency in body comes goitre.
Ans: Thyroid.
Q.41. Name the endocrine gland attached to the base of brain.
Ans: Pituitary gland.
Q.42. Name the gland which secretes insulin hormone.
Ans: Pancreas.
Q.43. Name the hormones whose deficiency causes diabetes.
Ans: Insulin.
Q.44. What is the name of the process in which the thickened uterus lining along with its blood vessels is removed from the body of a woman through vaginal bleeding?
Ans: Menstruation cycle.
Q.45. Name some endocrine glands other than pituitary gland.
Ans: Some endocrine glands are thyroid pancreas and adrenals.
Q.46. What is the function of adrenaline hormones?
Ans: Adrenaline hormone maintains the correct balance of salts in the blood.
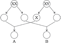
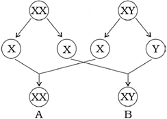
Q.47. Fill the blank circles in figure and identify the sex of child A and B.

Ans:

Q.48. A 10 years old boy is 130 cm tall. If present height of the boy is 78% of his full height, calculate the full height, the boy will eventually reach at the end of growth period.
Ans: Present height = 130 cm
% of full height = 78
Hence, Full height =
100
=
100 = 166.67 cm
Q.49. Some boys and girls have disproportionate body parts during adolescence. Why?
Ans: Sometimes, the boys and girls have disproportionate body parts. They look tall but face looks smaller. This is because all body parts do not grow at the same rate, e.g., long bones elongate early.
But slowly, they all catch up and body becomes balanced.
Q.50. A tadpole is kept in iodine deficient water. How will it affect its growth? Explain.
Ans: Tadpoles growing in iodine deficient water have retarded growth. This is because the growth and development are regulated by thyroxine hormone which is produced by thyroid gland. As iodine is required for thyroxine production, retarded growth is seen in tadpoles when kept in iodine deficient water.
Q.51. Rama is 13 years old. She is getting pimples on her face these days about which she is worried. Can you explain why she is getting pimples during this age?
Ans: During puberty, there is increase in the activity of sweat and sebaceous glands. This leads to increased sweating often resulting in body odour. The excess oil and sweat get collected in the tiny pores of the skin, blocking them so that the bacteria can grow in it. This causes the formation of pimples and acne on the face of boys and girls at this time.
Q.52. Give the definition of adolescence as stated by the WHO. Why is adolescence also called teenage?
Ans: The World Health Organisation (WHO) defines adolescence as the period of life between 11 and 19 years of age. Since, adolescence period covers the teens period, i.e., 13-19 years of age, adolescence is also called as 'teenage'.
Q.53. Lila always eats only dal and rice in every meal. She often falls ill and has become prone to diseases. Can you suggest changes in her diet which can make her healthy and free from disease?
Ans: Lila's diet is not a balanced diet because her meal does not contain the adequate nutritional requirement. She takes only proteins and carbohydrates in every meal. She requires vitamins and minerals in her meal to protect her from various diseases.
Thus, I would suggest her to include fruits and vegetables in her meal as a source of vitamins and minerals.
Q.54. AIDS is one of the deadliest diseases, the world is fighting with. What is AIDS? Name the causal agent and the ways through which its transmitted.
Ans: AIDS is Acquired Immunodeficiency Syndrome. It is a disease caused by HIV (Human Immunodeficiency Virus). The AIDS virus can easily pass from an infected person to a healthy person through ways given below:
(i) Sharing the syringes for injecting drugs.
(ii) Unprotected sex with an infected person.
(iii) Transfusion of blood into a healthy person from an infected person.
(iv) Through milk from an infected mother to an infant.
Q.55. A female human being has periods after a certain age. This is an indication by the body that She is able to make new tiny humans now.
(a) Does the process have a scientific term?
(b) What is the human female said to have attained at this stage?
(c) Does the onset of this process in human female signify anything?
(d) At what particular event in the life of a human female this process stops temporarily?
(e) A particular name is given to the event when this process stops permanently. What is it?
Ans:
(a) This process is known as menstruation (in scientific terms).
(b) The human female is said to attain puberty.
(c) The onset of this process signifies that the reproductive system of human female has started working.
(d) During pregnancy, this process stops temporarily.
(e) Menopause is the term used when this process stops permanently.
Q.56. Humans attain sexual maturity during puberty. How does this happen? Explain.
Ans: At puberty, the male and female sex organs get fully developed. The testes start secreting testosterone and start producing sperms. Similarly, in females, ovaries get enlarged and secrete oestrogen so as to produce matured eggs. Due to these sex hormones, humans attain sexual maturity.
Q.57. 'Reproductive life, once begun, continues or it ends after some time'. Explain.
Ans: The reproductive life, i.e., capacity for maturation and production of gametes lasts for a much longer time in males than in females. In females, the reproductive phase of life begins at puberty (11-13 years of age) and generally lasts till the age of approximately 45-50 years.
Thus, reproductive life once begun, continues in males and ends in females.
Q.58. Mention any two features each that are seen in boys and girls each to distinguish them from each other at puberty.
Ans: Two features seen in boys at puberty are
(i) Growth of facial hairs.
(ii) Voice becomes hoarse.
Two features seen in girls at puberty are
(i) Development of breasts.
(ii) Region below the waist becomes wider.
Q.59. Salma had a very soft and smooth skin during her childhood. As she entered adolescence, she developed pimples on her face. The skin specialist advised her to wash her face at regular intervals. Can you explain the reasons for the appearance of pimples on her face and suggest ways to prevent them?
Ans: During adolescence, the secretion of sweat glands and sebaceous glands increases leading to the formation of acne and pimples. Regular face wash keeps the face clean and dry and helps to reduce the pimples.
Q.60. Height of a person is a multifactorial tract. Write the factors which ·affect the height of the person.
Ans: Factors which affect the height of the person are
(i) The height of an individual is more or less similar to that of family members. The height depends on the genes inherited by the parents.
(ii) Height also depends on the food eaten by the person in growing period.
(iii) Hormones, exercise and diseases also contributes to height.
Q.61. Ayesha and Kriti are best friends. Ayesha married Aman and was blessed with a baby girl. On the other hand, Kriti married Kartik and had a baby boy. What type of sex chromosomes have been contributed by each?
Ans: Sex chromosomes contributed are as given below:
Ayesha- X Aman- X Kriti- X Kartik- Y
Q.62. People who do not have enough iodine in their diet, then they may suffer from goitre. Is it true? What is iodised salt? Why is it important?
Ans: Yes, if people do not have enough iodine in their diet, then they may suffer from goitre. This is because iodine is required by the thyroid gland to secrete thyroxine. The lack of thyroxine causes goitre.
Iodised salt is table salt mixed with a minute amount of various salts of element iodine. It is important for the thyroid gland to make thyroxine and to prevent mental retardation and stunted growth in children.
Q.63. In human females, each time during maturation and release of egg, the inner wall of uterus thickness. Is this thickening permanent? Give reasons.
Ans: No, in human females, each time during maturation and release of egg, the inner wall of uterus thickens. This thickening of the uterine wall is not permanent. If the egg gets fertilised, it starts developing and gets embedded in the uterine wall resulting in pregnancy. During pregnancy, no more eggs are released and the thickened lining is discharged only when the baby is born. However, if fertilisation does not occur, the released egg and the thickened lining are shed off resulting in menstruation.
Q.64. John and Radha were classmates. When Radha became eleven years old, she developed a little swelling in her neck. She visited the doctor who started medication for her. After a few years, John also developed a slight protrusion on his throat. He got worried and went to the doctor. But the doctor assured him that it was a normal feature in boys while they are growing up. Can you think of any reasons for the difference in diagnoses?
Ans: The swelling in the neck of Radha may have been because of goitre, a condition during which the thyroid gland produces insufficient quantity of thyroxine. However, the protrusion in John's throat would be Adam's apple, a result of growth of voice box in adolescent boys.
Q.65. A few of Payal's classmates eat potato chips and burgers regularly during the recess in school. Are these healthy eating habits? Give reasons.
Ans: No, these are not healthy eating habits because burgers and potato chips have very little nutritional value. Although, these are very tasty but can never replace regular meals as balanced diet which is essential for the adolescents for their normal growth and development.
Q.66. Name the hormone which would be released during the following situations.
(a) A frightened person
(b) Growth of a child to adult
(c) Development of caterpillar to moth
(d) Development of tadpole to frog
Ans:
(a) Adrenaline is secreted from adrenal gland during the stress conditions like fright or fear, anger, worry or embarrassment.
(b) Growth hormone is secreted from pituitary gland to regulate the normal growth of a person, i.e., growth of a child to adult.
(c) Insect hormones control the development of caterpillar to moth.
(d) Thyroxine is produced by thyroid gland to control the development of tadpole to frog.
Q.67. Is it right that the reproductive life of a woman lasts from menarche to menopause?
Ans: Yes, it is right because beginning of menstruation, i.e., reproductive life begins at 10-12 years of age is known as menarche and stoppage of menstruation, i.e., females can't reproduce now at 45-50 years of age is known as menopause.
Q.68. We should avoid taking medicines/drugs unless prescribed by a doctor. Give reasons.
Ans: We should avoid taking medicines/drugs unless prescribed by a doctor because
(i) several medicines have adverse side effects and have specific dosage levels which if not followed may harm the body.
(ii) drugs can be addictive too and can ruin our health and happiness.
Q.69. Pooja was happy when she gave birth to her second child. Her in-laws were dissatisfied at her not giving birth to a male child and blamed her. Pooja tried to convince her in-laws that she had no role in the child's gender. They were yet not satisfied Pooja's husband took up the matter and explained them the biological reason. They understood and apologised.
(a) What are sex chromosomes?
(b) Is it right to blame mother for the child's gender? Give reason for your answer.
Ans:
(a) A specific pair of chromosomes determine the sex of the individual. These are called sex chromosomes, named X and Y.
(b) No, the belief that the mother is responsible for the sex of her baby is completely wrong and to blame her for this is totally unjustified. It is because the sex chromosomes of the father determine the sex of an unborn baby.
Q.70. In figure, mark the position of the endocrine glands which release the hormones that
(a) control the release of sex hormones.
(b) are responsible for the secondary sexual characters in boys.
(c) prevent diabetes.
(d) maintain the correct salt balance in the blood.

Ans:
(a) Pituitary gland: It releases hormones that control the release of sex hormones, i.e., testosterone in males and oestrogen in females.
(b) Testis: It releases testosterone which is responsible for the secondary sexual character in boys.
(c) Pancreas: It releases insulin which prevents diabetes.
(d) Adrenal gland: It releases aldosterone that maintains the correct salt balance in the blood.

Q.71. It is believed that height of a child depends upon the genes inherited from parents. However, it is often seen that tall parents may have short children and vice-versa. Are these factors other than genes that can cause these variations?
Ans: Height of a child depends upon the genes inherited from parents. However, there are some other factors also that can affect height. These factors include balanced diet hormones, exercise, diseases. Balanced diet is essential for the adolescents as it helps the bones, muscles and other parts of the body to get adequate nourishment for growth.
Similarly, lack of hormones as growth hormones may lead to dwarfism. Regular exercise is also essential for proper development lack of disease is a priority for proper growth that is related to other factors listed above.
Thus, height depends on combination of various factors.
Q.72. Our government has legalised the age for marriage in boys and girls. Give reasons as to why one should get married after a certain age?
Ans: In our country, the legal age for marriage is 18 years for girls and 21 years for boys. This is because teenage mothers are not prepared mentally or physically for motherhood. Early marriage and motherhood cause health problems in both mother and the child. It also curtails employment opportunities for the young woman and may cause mental agony as she is not ready to shoulder responsibilities of motherhood.
Also, the boys before that age may not be mentally matured and financially secure enough to take the responsibilities of a family. Thus, one should get married only after a certain set age.
Q.73. Given below are certain food items required for proper nourishment of adolescents. Name the nutrients present in the food items and write their functions.
|
Food item |
Major nutrient |
Function |
|
Pulses and nuts |
|
|
|
Orange and amla |
|
|
|
Sugar and roti |
|
|
|
Oils |
|
|
|
Vegetables |
|
|
Ans:
|
Food item |
Major nutrient |
Function |
|
Pulses and nuts |
Proteins |
Growth, repair of body cells. |
|
Orange and amla |
Vitamin-B |
Keep the body healthy by providing resistance. |
|
Sugar and roti |
Carbohydrates |
Provide energy. |
|
Oils |
Fats |
Provide energy |
|
Vegetables |
Vitamins and minerals |
Keeps the body healthy and disease free. |
Q.74. Amit was very good in study. But as he attained the age of 13 years, he became dull and lethargic. Asked by his teacher, Amit said that he was very worried about the changes that are taking place in his body such as hoarse voice, height, etc. The teacher smiled and explained that it is a normal process of growing up.
(a) Mention some of the changes that Amit must be going through.
(b) What is this special period of life known as?
(c) Can you explain the reason of his hoarse voice?
(d) What is responsible for these changes?
Ans: (a) Some of the changes are
(i) Increase in height. (ii) Change in body shape. (iii) Voice change.
(iv) Development of sex organs. (v) Hairy line above the lips.
(b) This special period of life is known as adolescence. During this period, body undergoes changes leading to reproductive maturity.
(c) At puberty, the larynx beings to grow so that boys develop larger voice boxes. Sometimes, the muscles of the growing voice box go out of control and the voice becomes hoarse.
(d) Hormones (i.e., testosterone in this case) is responsible for these changes.
Q.75. Observe the chart and graph given below and answer the following questions.

(a) Which of the line represents the height of boys?
(b) Which line represents the height of girls?
(c) What is the difference between the pattern of increase in the height of boys and girls?
(d) Is this pattern true for each individual?
Ans:
(a) The dotted line represents the height of boys.
(b) The solid line represents the height of girls.
(c) At the on-set of puberty, girls grow faster in height than the boys and by the age of 18 years, approximately both reach their maximum height.
(d) No, the rate of growth in height varies among individuals. Some may grow in height suddenly at puberty and then slow down, while others may grow gradually.
Q.76. Categorise following changes into those that occur in boys and girls during adolescence.
(a) Broad shoulders (b) Wider chests (c) Wider region below waist
(d) Development of muscles (e) Development of mammary glands
(f) Growth of facial hair (g) Acne and pimples on face (h) Development of sex organs
(i) High-pitched voice (j) Growth of pubic hair
Ans: Body changes during adolescence are given below
|
Boys |
Girls |
|
Broad shoulders |
Wider region below waist |
|
Wider chest |
Development of mammary glands |
|
Development of muscles |
Acne and pimples on face |
|
Growth of facial hair |
Development of sex organs |
|
Acne and pimples on face |
High-pitched voice |
|
Development of sex organs |
Growth of pubic hair |
|
Growth of pubic hair |
|
Online Tuitions & Self-Study Courses for Grade 6 to 12 & JEE / NEET
