Note: Only pdf files can be uploaded. Use Drag and Drop feature to upload files. You may use Apps like Camscanner to create single pdf file of all your answer pages.
Q.1. Simplify (3x + 2y)2 + (3x – 2y)2
Q.2. Simplify (3x + 2y)2 – (3x – 2y)2
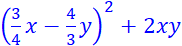
Q.3. Simplify
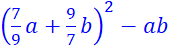
Q.4. Simplify
Q.5. Simplify (1.5p + 1.2q)2 – (1.5p – 1.2q)2
Q.6. Simplify (2.5m + 1.5q)2 + (2.5m – 1.5q)2
Q.7. Simplify (x2 – 4) + (x2 + 4) + 16
Q.8. Simplify (ab – c)2 + 2abc
Q.9. Simplify (a – b) (a2 + b2 + ab) – (a + b) (a2 + b2 – ab)
Q.10. Simplify (b2 – 49) (b + 7) + 343
