Chapter 1 – Rational Numbers
NCERT Solutions
Exercise 1.1
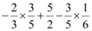
Q.1. Using appropriate properties find:
Ans:
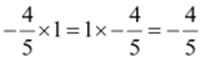
(i) 
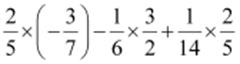
(ii) 
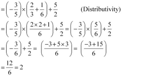
Ans:
(i) 

(ii)
(By
commutativity)

Q.2. Write the additive inverse of each of the following:
(i)
(ii)
(iii)
(iv)
(v) 
Ans:
(i) 
Additive
inverse = 
(ii) 
Additive
inverse = 
(iii) 
Additive
inverse = 
(iv) 
Additive
inverse 
(v) 
Additive
inverse 
Q.3. Verify that −(−x) = x for.
(i)
(ii) 
Ans:
(i) 
The
additive inverse of
is
as 
This
equality
represents
that the additive inverse of
is
or
it can be said that
i.e.,
−(−x) = x
(ii) 
The
additive inverse of
is
as 
This
equality
represents
that the additive inverse of
is
−
i.e.,
−(−x) = x
Q.4. Find the multiplicative inverse of the following.
(i) −13 (ii)
(iii) 
(iv)
(v)
(vi)
−1
Ans:
(i) −13
Multiplicative
inverse = −
(ii) 
Multiplicative
inverse = 
(iii) 
Multiplicative inverse = 5
(iv) 
Multiplicative
inverse 
(v) 
Multiplicative
inverse 
(vi) −1
Multiplicative inverse = −1
Q.5. Name the property under multiplication used in each of the following:
(i) 
(ii) 
(iii) 
Ans:
(i) 
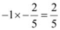
1 is the multiplicative identity.
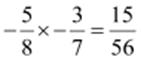
(ii) Commutativity
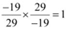
(iii) Multiplicative inverse
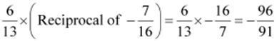
Q.6. Multiply
by
the reciprocal of
.
Ans:

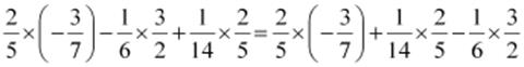
Q.7. Tell what property allows you to compute
.
Ans: Associativity
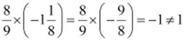
Q.8. Is
the
multiplicative inverse of
?
Why or why not?
Ans: If it is the multiplicative inverse, then the product should be 1.
However, here, the product is not 1 as

Q.9. Is 0.3 the multiplicative inverse of
?
Why or why not?
Ans:

0.3
×
=
0.3 × 
Here, the product is 1. Hence, 0.3
is the multiplicative inverse of
.
Q.10. Write:
(i) The rational number that does not have a reciprocal.
(ii) The rational numbers that are equal to their reciprocals.
(iii) The rational number that is equal to its negative.
Ans:
(i) 0 is a rational number but its reciprocal is not defined.
(ii) 1 and −1 are the rational numbers that are equal to their reciprocals.
(iii) 0 is the rational number that is equal to its negative.
Q.11. Fill in the blanks.
(i) Zero has __________ reciprocal.
(ii) The numbers __________ and __________ are their own reciprocals
(iii) The reciprocal of − 5 is __________.
(iv)
Reciprocal of
,
where
is
__________.
(v) The product of two rational numbers is always a __________.
(vi) The reciprocal of a positive rational number is __________.
Ans:
(i) No
(ii) 1, −1
(iii) 
(iv) x
(v) Rational number
(vi) Positive rational number
Exercise 1.2
Q.1. Represent these numbers on the number line.
(i)
(ii) 
Ans:
(i)
can
be represented on the number line as follows.

(ii)
can
be represented on the number line as follows.

Q.2. Represent
on
the number line.
Ans:
can be represented on the number line as follows.

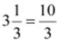
Q.3. Write five rational numbers which are smaller than 2.
Ans:
2 can be represented as
.
Therefore, five rational numbers smaller than 2 are

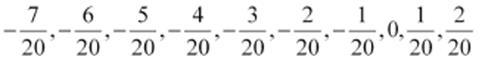
Q.4. Find ten rational numbers between
and
.
Ans:
and
can
be represented as
respectively.
Therefore, ten rational numbers
between
and
are

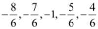
Q.5. Find five rational numbers between
(i) 
(ii) 
(iii) 
Ans:
(i)
can
be represented as
respectively.
Therefore, five rational numbers
between
are

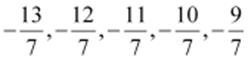
(ii)
can
be represented as
respectively.
Therefore, five rational numbers
between
are

(iii)
can
be represented as
respectively.
Therefore, five rational numbers
between
are

Q.6. Write five rational numbers greater than − 2.
Ans:
−2 can be represented as
−
.
Therefore, five rational numbers greater than −2 are

Q.7. Find ten rational numbers between
and
.
Ans:
and
can
be represented as
respectively.
Therefore, ten rational numbers
between
and
are

Online Tuitions & Self-Study Courses for Grade 6 to 12 & JEE / NEET
