Chapter 4 – Simple Equations
Assignment 5 (High Level Questions)
Q.1. Solve 6(3x + 2) − 5(6x − 1) = 3(x − 8) − 5(7x − 6) + 9x
Q.2. Solve 
Q.3. Solve 
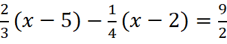
Q.4. Solve 
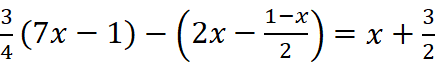
Q.5. Solve 
Q.6. Solve 
Q.7. Two equal sides of an isosceles triangle are 4x − 2 and 3x + 4. If the third side is 2x − 1, then find each side and perimeter of the triangle.
Q.8. The length of a rectangle is three times its width. If the perimeter of the rectangle is 96 metres, find the length and breadth of the rectangle.
Q.9. There are only 50 paise coins in a purse. If the total value of the money in the purse is ₹ 125, then find the number of coins in the purse.
Q.10. After 15 years, Vikas will be four times as old as he is now. Find his present age.
Q.11. The total cost of three prizes is ₹ 2550. If the cost of 2nd prize is
of the first prize and the cost of 3rd prize is
of the second prize, then find the cost of each prize.
Q.12. 50 kg of an alloy of lead and tin contains 60% of lead. How much lead must be melted into it to make the alloy containing 75% of lead?
Online Tuitions & Self-Study Courses for Grade 6 to 12 & JEE / NEET
