Class 7 Mathematics

Chapter 3 – Data Handling

Important Notes

Representative Values

There must be a particular value which represents the complete data. This is the average of the data. The average lies between the smallest and the largest number of data so it is called Central tendency of the group of data.

There are three types of central tendency of data-

1. Arithmetic Mean

The arithmetic mean or mean is the average of the number of observations. To calculate mean we have to divide the sum of the values of the observations by the total number of observations.

It is represented by Image001 (x bar)

For given values (observations), x1, x2, x3, ……… xn, mean is given as

     Image002

     Image003

Example

The score of 8 students in science is given. Find the average score of the students.

19, 33, 23, 24, 29, 35, 42, 50

Solution

 Mean, Image002

                Image004

                Image005

Range

Arithmetic mean lies between the smallest and the largest observation. A range is a difference between the largest and the smallest observation.

     Range = Largest Observation – Smallest Observation

Example

If the age of the students in a class is given then what will be the range of the given students?

Age of the students

2. Mode

For a different type of requirements different central tendencies are used.

Mode tells us the number of observation which occurs more frequently. The observation which occurs most of the time is called the Mode of that group.

Example

If we have the observation of average temperature in New Delhi for 12 months then find the month in which it has the maximum average temperature? What is the mode of the given observation?

Month

Average Temperature

January

18

February

22

March

24

April

25

May

25

June

29

July

27

August

27

September

27

October

25

November

21

December

19

 

Solution

As you can see that the maximum average temperature is in the month of June.

Its mode will be 27 as it occurs more frequently i.e. three times.

Mode of a Large Number of Observations

If the number of observations is very large then we can convert the data in the tabular form using frequencies and tally marks. Then it will be easy to find the mode of the given data.

So you can check the number of observation which has a large number of frequency is the mode of that group.

Example

Find the mode of the data of scores obtained by students of class 7 in Sanskrit given below.

Solution

As you can see that the maximum average temperature is in the month of June.

Its mode will be 27 as it occurs more frequently i.e. three times.

Example

Find the mode of the data of scores obtained by students of class 7 in Sanskrit given below.

Score

Number of Students

2

4

4

2

8

3

9

2

11

5

13

4

15

6

18

8

 

Solution

The mode is the 18 as the maximum number of students i.e. 8 students score 18.

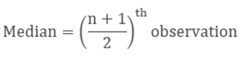
3. Median

The middle value of the given number of the observations which divides it into exactly two parts is called Median.

To find the median, we have to arrange the data in ascending or descending order then find the middle value of the given number of observations that is the median of that group.

a. If the number of observation is odd

Number of observation is odd

b. If the number of observation is even

Number of observation is even

Example

 Image009

Bar Graph

It is the representation of data with the use of bars of the same width and the length of bars depends upon the number of occurrences (frequency).

Image010

Birthday of students by Months

Here we can see that the highest number is 14 and the lowest number is 7 so we can take the scale of one.

By the graph, we can observe that jazz is the most preferred form of music by the students.

Double Bar Graph

This is the same as the bar graph just the two bars are joined off to represent two data on the same graph. This is used to compare certain information.

Choosing a Scale

It is important to choose the scale according to the given data as the length of the bar depends upon the scale we choose.

Example

Represent the number of wild animals found in two states given below in double bar graph.

Wild Animals

Karnataka

Tamil Nadu

Lion

20

18

Tiger

16

20

Elephant

30

25

Rhino

15

22

Zebra

25

28

 

Solution

Double Bar Graph

Here we have chosen a scale of 5.

The x-axis represents the name of wild animals.

Y-axis represents the number of wild animals.

The blue bar represents the number of animals in Karnataka.

Pink bars represent the number of animals in Tamil Nadu.

This double bar graph is used to compare the number of animals in different states.

Chance

In our day to day life, there are so many situations when we say that this is impossible, or this is possible, or this may or may not possible. So the situations which may or may not happen have the chance to happen.

Image012

This shows that it is not possible to throw 14 in the combination of two dices.

It is certain that the sun will rise.

It may or may not happen that a head has come when we flip a coin. As both, the head and tail have an equal chance.

Probability

Probability is the study of uncertainty The uncertainty of any doubtful situation is measured by means of Probability.

This tells us the chance of happening some outcomes from the total possible outcomes.

Image013

Example

If we throw a dice then what is the probability that we will get a 5?

Image014

Solution

Image015

Favourable outcome = 1 (there is only one possibility of getting 5)

Total no. of possible outcomes = 6 (total six numbers are there on a dice)

Probability of getting 5 = 1/6

Online Tuitions & Self-Study Courses for Grade 6 to 12 & JEE / NEET

Shopping Cart