Class 7 Mathematics
Chapter 2 – Fractions and Decimals
Important Notes
Fractions
Fractions tell about “a part of a whole”, where all parts are of equal value, e.g., equal slices of a pizza.

Here the pizza is divided into 8 equal parts and there are 7 parts left with us.
We will write it in a fraction as

The General form of a Fraction

Where, denominator ≠ 0 (denominator can never be zero).
If numerator = denominator then the fraction becomes 1, which is called unity of fraction.
Types of Fraction
|
Type of Fraction |
Meaning |
Pictorial Representation |
|
Proper fraction |
When numerator is less than the denominator. It shows the part of a whole. |
|
|
Improper fraction |
When numerator is more than the denominator. It represents the mixture of whole and a proper fraction. |
|
|
Mixed Fraction |
The improper fraction can be written in the mixed form as it is the mixture of whole number and a fraction. |
|
|
Like Fraction |
The fractions with the same denominator are like fractions. |
|
|
Unlike Fraction |
The fractions with different denominators are unlike fractions. |
|
|
Equivalent Fraction |
The fractions proportional to each other are called equivalent fractions. It represents the same amount with different fractions. |
|
Converting a Mixed Fraction into an Improper Fraction

Converting an Improper Fraction into a Mixed Fraction
Divide the Numerator by the denominators that the quotient will be the whole number and remainder will be the numerator, while denominator will remain the same.


Finding the equivalent fractions
To find the equivalent fraction of proper and improper fraction, we have the multiply both the numerator and denominator with the same number.
Example

Reciprocal of a Fraction
If we have two non-zero numbers whose product is one then these numbers must be the reciprocals of each other.



To find the reciprocal of any fraction, we just need to flip the numerator with the denominator. In other words, we need to turn the number upside down.

Every number has a reciprocal except 0.
Multiplication of Fractions
Multiplying a fraction with a whole number?
(i) If we have to multiply the proper or improper fraction with the whole number then we simply multiply the numerator with that whole number and the denominator will remain the same. E.g.,

(ii) If we have to multiply the mixed fraction with the whole number then first convert it in the form of improper fraction then multiply as above. E.g.,

Fraction as an operator “of”.
If you are asked to find the ½ of 12 then here ‘of’ means multiplication.

i.e.,

2. How to multiply a fraction with another fraction?
If we have to multiply the proper or improper fraction with another fraction then we simply multiply the numerator of both the fractions and the denominator of both the fractions separately and write them as the new fraction.

e.g.,

Value of the products of the fractions
When we multiply two natural numbers then we get the result which is greater than both the numbers.
e.g., 7 × 8 = 56
Here, the product 56 is greater than both 7 and 8.
But in case of a fraction, it may not be true for all cases.
(i) The product of two proper fractions
If we multiply two proper fractions then their product will be less than the given fractions. E.g.,

(ii) The product of two improper fractions
If we multiply two improper fractions then their product will be greater than the given fractions. E.g.,

(iii) The product of one proper and one improper fraction
If we multiply proper fraction with the improper fraction then the product will be less than the improper fraction and greater than the proper fraction. E.g.,

Division of Fractions
1. Dividing a whole number by a Fraction?
(i) If we have to divide the whole number with the proper or improper fraction then we will multiply that whole number with the reciprocal of the given fraction. E.g.,

In other words,
(ii) If we have to divide the whole number with the mixed fraction then we will convert it into improper fraction then multiply it’s reciprocal with the whole number. E.g.,

2. Dividing a Fraction with a whole number?
To divide the fraction with a whole number, we have to take the reciprocal of the whole number then divide it with the whole number as usual. E.g.,

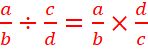
3. Dividing a fraction with another Fraction?
To divide a fraction with another fraction, we have to multiply the first fraction with the reciprocal of the second fraction.

E.g.,

Decimal Numbers
Fractions which have a form such that numerator is a whole number and denominator is 10, 100, 1000 … etc. are called Decimal Fractions.
A decimal number is a number which has a decimal point. Numbers left to the decimal are 10 greater and numbers to the right of the decimal are 10 smaller.

Multiplication of Decimal Numbers
1. Multiplying a decimal number with a whole number?
If we have to multiply the whole number with a decimal number then we will multiply them as normal numbers but the decimal place will remain the same as it was in the original decimal number. E.g.,
43 × 3.05 = 131.15
Here we have multiplied the number 43 with 3.05 as normal whole numbers and then put the decimal at the same place from the right as it was in 3.05.
2. Multiplying Decimal numbers by 10, 100 and 1000?
(i) If we have to multiply a decimal number by 10 then we will transfer the decimal point to the right by one place. E.g.,
67.79 × 10 = 677.9
(ii) If we have to multiply a decimal number by 100 then we will transfer the decimal point to the right by two places. E.g.,
2.53 × 100 = 253
(iii) If we have to multiply a decimal number by 1000 then we will transfer the decimal point to the right by three places. E.g.,
2.53 × 1000 = 2530
3. Multiplying a decimal number by another decimal number?
To multiply a decimal number with another decimal number we have to multiply them as the normal whole numbers then put the decimal at such place so that the number of decimal place in the product is equal to the sum of the decimal places in the given decimal numbers. E.g.,

First we’ll multiply 253 and 123, and then place a decimal after 3 digits (2 decimal places in 2.53 + 1 in 12.3) from right.

Hence,

Division of Decimal Numbers
1. Dividing a decimal number by a whole number?
If we have to divide the whole number with a decimal number then we will divide them as whole numbers but the decimal place will remain the same as it was in the original decimal number. E.g.,
8.96 ÷ 4 = 2.24
Here we divide the number 896 with 4 as normal whole numbers and we put the decimal at the same place from the right as it was in 8.96.
2. Dividing Decimal numbers by 10,100 and 1000?
(i) If we have to divide a decimal number by 10 then we will transfer the decimal point to the left by one place. E.g.,
3.25 ÷ 10 = 0.325
(ii) If we have to divide a decimal number by 100 then we will transfer the decimal point to the left by two places. E.g.,
463.31 × 100 = 4.6331
(iii) If we have to divide a decimal number by 1000 then we will transfer the decimal point to the left by three places. E.g.,
27.17 × 1000 = 0.02717
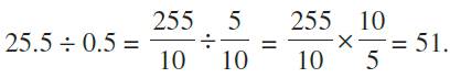
3. Dividing a decimal number by another decimal number?
First, we have to convert the denominator as the whole number by multiplying both the numerator and denominator by 10, 100 etc. Then we can divide them as we had done before. E.g.,


Online Tuitions & Self-Study Courses for Grade 6 to 12 & JEE / NEET






