Class 6 Maths NCERT Solutions
Chapter 8 Decimals
Exercise 8.1
Q.1: Write the following as numbers in the given
table.
(a)

(b)

|
Hundreds(100) |
Tens (10) |
Ones (1) |
Tenths |
Ans :
It may be observed that
|
Row |
Hundreds |
Tens |
Ones |
Tenths |
|
a. |
0 |
3 |
1 |
2 |
|
b. |
1 |
1 |
0 |
4 |
Q.2: Write the following decimals in the place
value table.
(a) 19.4 (b)
0.3
(c) 10.6 (d)
205.9
Ans :
|
Decimal |
Hundreds |
Tens |
Ones |
Tenths |
|
19.4 |
0 |
1 |
9 |
4 |
|
0.3 |
0 |
0 |
0 |
3 |
|
10.6 |
0 |
1 |
0 |
6 |
|
205.9 |
2 |
0 |
5 |
9 |
Q.3: Write each of the following as decimals:
(a) Seven-tenths
(b) Two tens and nine-tenths
(c) Fourteen point six
(d) One hundred and two ones
(e) Six hundred point eight
Ans :
(a) Seven-tenths =
= 0.7
(b) Two tens and nine-tenths = 20 +
= 20.9
(c) Fourteen point six = 14.6
(d) One hundred and two ones = 100 + 2 = 102.0
(e) Six hundred point eight = 600.8
Q.4: Write each of the following as decimals:
(a)
(b) 
(c)
(d) 
(e)
(f) 
(g)
(h) 
(i)
(j) 
(k) 
Ans :
(a) 
(b) 
(c) 
(d) 
(e) 
(f) 
(g) 
(h) 
(i) 
(j) 
(k) 
Q.5: Write the following decimals as fractions.
Reduce the fractions to lowest form.
(a) 0.6 (b) 2.5
(c) 1.0 (d) 3.8
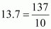
(e) 13.7 (f) 21.2
(g) 6.4
Ans :
(a) 
(b) 
(c) 1.0 = 1
(d) 
(e) 
(f) 
(g) 
Q.6: Express the following as cm using decimals.
(a) 2 mm
(b) 30 mm
(c) 116 mm
(d) 4 cm 2 mm
(e) 162 mm
(f) 83 mm
Ans :
We know that 1cm = 10 mm
(a) 
(b) 
(c) 
(d) 
(e) 
(f) 
Q.7: Between which two whole numbers on the number
line are the given numbers lie? Which of these whole numbers is nearer the number?

(a) 0.8
(b) 5.1
(c) 2.6
(d) 6.4
(e) 9.1
(f) 4.9
Ans :
(a) 0.8 lies between 0 and 1, and is nearer
to 1.
(b) 5.1 lies between 5 and 6, and is nearer
to 5.
(c) 2.6 lies between 2 and 3, and is nearer
to 3.
(d) 6.4 lies between 6 and 7, and is nearer
to 6.
(e) 9.1 lies between 9 and 10, and is nearer
to 9.
(f) 4.9 lies between 4 and 5, and is nearer
to 5.
Q.8: Show the following numbers on the number
line.
(a) 0.2 (b) 1.9
(c) 1.1 (d) 2.5
Ans :
(a) 0.2 represents a point between 0 and 1 on number
line, such that the space between 0 and 1 is divided into 10 equal parts. Hence,
each equal part will be equal to one-tenth. Now, 0.2 is the second point between
0 and 1.

(b) 1.9 represents a point between 1 and 2 on number
line, such that the space between 1 and 2 is divided into 10 equal parts. Hence,
each equal part will be equal to one-tenth. Now, 1.9 is the ninth point between
1 and 2.

(c) 1.1 represents a point between 1 and 2 on number
line, such that the space between 1 and 2 is divided into 10 equal parts. Hence,
each equal part will be equal to one-tenth. Now, 1.1 is the first point between
1 and 2.

(d) 2.5 represents a point between 2 and 3 on number
line, such that the space between 2 and 3 is divided into 10 equal parts. Hence,
each equal part will be equal to one-tenth. Now, 2.5 is the fifth point between
2 and 3.

Q.9: Write the decimal number represented by
the points A, B, C, D on the given number line?

Ans :
Point A represents 0.8.
Point B represents 1.3.
Point C represents 2.2.
Point D represents 2.9.
Q.10:
(a) The length of Ramesh’s notebook is 9
cm 5 mm. What will be its length in cm?
(b) The length of a young gram plant is
65 mm. Express its length in cm.
Ans :
(a) The length of Ramesh’s notebook is 9
cm 5 mm.
Therefore, the length in cm is
(b) The length of a gram plant is 65 mm.
Therefore, the length in cm is
Exercise 8.2
Q.1: Complete the table with the help of these
boxes and use decimals to write the number.
(a)

(b)

(c)

|
Ones |
Tenths |
Hundredths |
Number |
|
|
(a) |
- |
- |
- |
- |
|
(b) |
- |
- |
- |
- |
|
(c) |
- |
- |
- |
- |
Ans :
|
Row |
Ones |
Tenths |
Hundredths |
Numbers |
|
(a) |
0 |
2 |
6 |
0.26 |
|
(b) |
1 |
3 |
8 |
1.38 |
|
(c) |
1 |
2 |
8 |
1.28 |
Q.2: Write the numbers given in the following
place value table in decimal form.
|
Hundreds 100 |
Tens 10 |
Ones 1 |
Tenths
|
Hundredths
|
Thousandths
|
|
|
(a) |
0 |
0 |
3 |
2 |
5 |
0 |
|
(b) |
1 |
0 |
2 |
6 |
3 |
0 |
|
(c) |
0 |
3 |
0 |
0 |
2 |
5 |
|
(d) |
2 |
1 |
1 |
9 |
0 |
2 |
|
(e) |
0 |
1 |
2 |
2 |
4 |
1 |
Ans :
(a) 
(b) 
(c) 
(d) 
(e) 
Q.3: Write the following decimals in the place
value table.
(a) 0.29 (b) 2.08
(c) 19.60 (d) 148.32
(e) 200.812
Ans :
(a) 
(b) 
(c) 
(d) 
(e) 
|
Row |
Hundreds |
Tens |
Ones |
Tenths |
Hundredths |
Thousandths |
|
(a) |
0 |
0 |
0 |
2 |
9 |
0 |
|
(b) |
0 |
0 |
2 |
0 |
8 |
0 |
|
(c) |
0 |
1 |
9 |
6 |
0 |
0 |
|
(d) |
1 |
4 |
8 |
3 |
2 |
0 |
|
(e) |
2 |
0 |
0 |
8 |
1 |
2 |
Q.4: Write each of the following decimals.
(a)
(b) 
(c)
(d) 
(e) 
Ans :
(a) 
(b) 
(c) 
(d) 
(e) 
Q.5: Write each of the following decimals in
words.
(a) 0.03 (b) 1.20
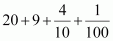
(c) 108.56 (d) 10.07
(e) 0.032 (f) 5.008
Ans :
(a) 0.03 = zero point zero three
(b) 1.20 = one point two zero
(c) 108.56 = one hundred eight point five
six
(d) 10.07 = ten point zero seven
(e) 0.032 = zero point zero three two
(f) 5.008 = five point zero zero eight
Q.6: Between which two numbers in tenths place
on the number line does each of the given number lie?
(a) 0.06 (b) 0.45
(c) 0.19 (d) 0.66
(e) 0.92 (f) 0.57
Ans :
(a) 0.06
0 and 0.1
(b) 0.45
0.4 and 0.5
(c) 0.19
0.1 and 0.2
(d) 0.66
0.6 and 0.7
(e) 0.92
0.9 and 1.0
(f) 0.57
0.5 and 0.6
Q.7: Write as fractions in lowest terms.
(a) 0.60 (b) 0.05
(c) 0.75 (d) 0.18
(e) 0.25 (f) 0.125
(g) 0.066
Ans :
(a) 
(b) 
(c) 
(d) 
(e) 
(f) 
(g) 
Exercise 8.3
Q.1: Which is greater?
(a) 0.3 or 0.4
(b) 0.07 or 0.02
(c) 3 or 0.8
(d) 0.5 or 0.05
(e) 1.23 or 1.2
(f) 0.099 or 0.19
(g) 1.5 or 1.50
(h) 1.431 or 1.490
(i) 3.3 or 3.300
(j) 5.64 or 5.603
Ans :
(a) 0.3 or 0.4
The whole parts of these numbers are same.
It can be seen that the tenth part of 0.4 is greater than that of 0.3.
Hence, 0.4 > 0.3
(b) 0.07 and 0.02
Here, both numbers have same parts up to
the tenth place. However, the hundredth part of 0.07 is greater than that of 0.02.
Hence, 0.07 > 0.02
(c) 3 or 0.8
It can be seen that the whole part of 3
is greater than that of 0.8.
Hence, 3 > 0.8
(d) 0.5 or 0.05
The whole parts of these numbers are same.
It can be seen that the tenth part of 0.5 is greater than that of 0.05.
Hence, 0.5 > 0.05
(e) 1.23 or 1.20
Here, both numbers have same parts up to
the tenth place. However, the hundredth part of 1.23 is greater than that of 1.20.
Hence, 1.23 > 1.20
(f) 0.099 or 0.19
The whole parts of these numbers are same.
It can be seen that the tenth part of 0.19 is greater than that of 0.099.
Hence, 0.099 < 0.19
(g) 1.5 or 1.50
Here, both numbers have the same parts up
to the tenth place. Also, there is no digit at hundredth place of 1.5. This implies
that this digit will be 0, which is same as the digit at the hundredth place of
1.50. Therefore, both these numbers are equal.
(h) 1.431 or 1.490
Here, both numbers have the same parts up
to the tenth place. However, the hundredth part of 1.490 is greater than that of
1.431.
Hence, 1.431 < 1.490
(i) 3.3 or 3.300
Here, both numbers have the same parts up
to the tenth place. Also, there is no digit at hundredth and thousandth place of
3.3. This implies that these digits are 0, which are the same as the digits at the
hundredth and thousandth place of 3.300. Therefore, both these numbers are equal.
(j) 5.64 or 5.603
Here, both numbers have the same parts up
to the tenth place. However, the hundredth part of 5.64 is greater than that of
5.603.
Hence, 5.640 > 5.603
Q.2: Make five more examples and find the greater
number from them.
Ans :
(a) 0.7 or 0.9
The whole parts of these numbers are same.
It can be seen that the tenth part of 0.9 is greater than that of 0.7.
Hence, 0.9 > 0.7
(b) 0.06 and 0.04
Here, both numbers have same parts up to
the tenth place. However, the hundredth part of 0.06 is greater than that of 0.04.
Hence, 0.06 > 0.04
(c) 5 or 0.9
It can be seen that the whole part of 5
is greater than that of 0.9.
Hence, 5 > 0.9
(d) 0.7 or 0.07
The whole parts of these numbers are same.
It can be seen that the tenth part of 0.7 is greater than that of 0.07.
Hence, 0.7 > 0.07
(e) 6.94 or 6.90
Here, both numbers have same parts up to
the tenth place. However, the hundredth part of 6.94 is greater than that of 6.90.
Hence, 6.94 > 6.90
Exercise 8.4
Q.1: Express as rupees using decimals.
(a) 5 paise
(b) 75 paise
(c) 20 paise
(d) 50 rupees 90 paise
(e) 725 paise
Ans :
We know that there are 100 paise in 1 rupee.
(a) 
(b) 
(c) 
(d) 
(e) 
Q.2: Express as metres using decimals.
(a) 15 cm
(b) 6 cm
(c) 2 m 45 cm
(d) 9 m 7 cm
(e) 419 cm
Ans :
We know that there are 100 cm in 1 metre.
(a) 
(b) 
(c) 
(d) 
(e) 
Q.3: Express as cm using decimals.
(a) 5 mm
(b) 60 mm
(c) 164 mm
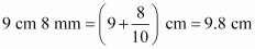
(d) 9 cm 8 mm
(e) 93 mm
Ans :
We know that there are 10 mm in 1 cm.
(a) 
(b) 
(c) 
(d) 
(e) 
Q.4: Express as km using decimals.
(a) 8 m
(b) 88 m
(c) 8888 m
(d) 70 km 5 m
Ans :
We know that there are 1000 metres in 1
km.
(a) 
(b) 
(c) 
(d) 
Q.5: Express as kg using decimals.
(a) 2 g
(b) 100 g
(c) 3750 g
(d) 5 kg 8 g
(e) 26 kg 50 g
Ans :
We know that there are 1000 grams in 1 kg.
(a) 
(b) 
(c) 
(d) 
(e) 
Exercise 8.5
Q.1: Find the sum in each of the following:
(a) 0.007 + 8.5 + 30.08
(b) 15 + 0.632 + 13.8
(c) 27.076 + 0.55 + 0.004
(d) 25.65 + 9.005 + 3.7
(e) 0.75 + 10.425 + 2
(f) 280.69 + 25.2 + 38
Ans :
(a) 0.007 + 8.5 + 30.08

(b) 15 + 0.632 + 13.8

(c) 27.076 + 0.55 + 0.004

(d) 25.65 + 9.005 + 3.7

(e) 0.75 + 10.425 + 2

(f) 280.69 + 25.2 + 38

Q.2: Rashid spent Rs 35.75 for Maths book and
Rs 32.60 for Science book. Find the total amount spent by Rashid.
Ans :
Price of Maths book = Rs. 35.75
Price of Science book = Rs. 32.60
Total amount spent by Rashid is

Therefore, the amount spent by Rashid is
Rs 68.35.
Q.3: Radhika’s mother gave her Rs 10.50 and her
father gave her Rs 15.80, find the total amount given to Radhika by the parents.
Ans :
Amount given by mother = Rs. 10.50
Amount given by mother = Rs. 15.80
Total amount given by parents is

Therefore, the amount given by her parents
is Rs 26.30.
Q.4: Nasreen bought 3 m 20 cm cloth for her shirt
and 2 m 5 cm cloth for her trouser. Find the total length of cloth bought by her.
Ans :
Cloth for shirt = 3 m 20 cm

Cloth for trouser = 2 m 5 cm

Total length of cloth is

Hence, the total length of cloth bought
by her is 5.25 m.
Q.5: Naresh walked 2 km 35 m in the morning and
1 km 7 m in the evening. How much distance did he walk in all?
Ans :
Distance walked in the morning = 2 km 35
m

= 2.035 km
Distance walked in the evening = 1 km 7
m

= 1.007 km
Total distance walked by him is

Q.6: Sunita travelled 15 km 268 m by bus, 7 km
7 m by car and 500 m on foot in order to reach her school. How far is her school
from her residence?
Ans :
Distance travelled by bus = 15 km 268 m

= 15.268 km
Distance travelled by car = 7 km 7 m

= 7.007 km
Distance travelled on foot = 500 m

= 0.500 km
Total distance of school from her residence
is

Q.7: Ravi purchased 5 kg 400 g rice, 2 kg 20
g sugar and 10 kg 850 g flour. Find the total weight of his purchases.
Ans :
Weight of rice = 5 kg 400 g = 
Weight of sugar = 2 kg 20 g = 
Weight of flour = 10 kg 850 g = 
Total weight of his purchases is

Exercise 8.6
Q.1: Subtract:
(a) Rs 18.25 from Rs 20.75
(b) 202.54 m from 250 m
(c) Rs 5.36 from Rs 8.40
(d) 2.051 km from 5.206 km
(e) 0.314 kg from 2.107 kg
Ans :
(a) Rs 20.75 − Rs 18.25

(b) 250 m − 202.54 m

(c) Rs 8.40 − Rs 5.36

(d) 5.206 km − 2.051 km

(e) 2.107 kg − 0.314 kg

Q.2: Find the value of:
(a) 9.756 − 6.28
(b) 21.05 − 15.27
(c) 18.5 − 6.79
(d) 11.6 − 9.847
Ans :
(a)

(b)

(c)

(d)

Q.3: Raju bought a book for Rs 35.65. He gave
Rs 50 to the shopkeeper. How much money did he get back from the shopkeeper?
Ans :
Money given to shopkeeper = ₹ 50.00
Cost of the book = ₹ 35.65
Money that Raju will get back will be the
difference of these two.
Hence, money that Raju will get back is

Therefore, he will get back Rs 14.35.
Q.4: Rani had Rs 18.50. She bought one ice-cream
for Rs 11.75. How much money does she have now?
Ans :
Money with Rani = ₹ 18.50
Money spent to buy an ice-cream = ₹
11.75
The money left with Rani will be the difference
of these two.
Hence, the money left is

Q.5: Tina had 20 m 5 cm long cloth. She cuts
4 m 50 cm length of cloth from this for making a curtain. How much cloth is left
with her?
Ans :
Length of the cloth = 20 m and 5 cm
=
20 + (5/100) = 20 + 0.05 = 20.05 m
Length of cloth cut to make the curtain
= 4 m and 50 cm
=
4 + (50/100) = 4 + 0.50 = 4.50 m
The length of the cloth left with her will
be the difference of these two.
Hence, the length of the cloth left with
her is

Therefore, 15.55 m cloth will be remaining.
Q.6: Namita travels 20 km 50 m every day. Out
of this, she travels 10 km 200 m by bus and the rest by auto. How much distance
does she travel by auto?
Ans :
Total distance travelled by Namita = 20
km and 50 m = 20.050 km
Distance travelled by bus = 10 km and 200
m = 10.200 km
Distance travelled by auto
=
Total distance – Distance travelled by bus

Q.7: Aakash bought vegetables weighing 10 kg.
Out of this, 3 kg 500 g is onions, 2 kg 75 g is tomatoes and the rest is potatoes.
What is the weight of the potatoes?
Ans :
Total weight of vegetables bought = 10.000
kg
Weight of onions = 3 kg 500 g = 3.500 kg
Weight of tomatoes = 2 kg 75 g = 2.075 kg
Weight of potatoes = Total weight of vegetables
bought − (Weight of onions + Weight of tomatoes)
= 10.000 − (3.500 + 2.075)


Hence, the weight of the potatoes was 4.425
kg.
End of Questions




