Class 6 Mathematics
Chapter 7 - Fractions
NCERT Solutions


Exercise 7.1

Q.1: Write the fraction representing the shaded portion.

Image001

Image002

Image003

(i)

(ii)

(iii)

Image004

Image005

Image006

(iv)

(v)

(vi)

Image007

Image008

Image009

(vii)

(viii)

(ix)

Image010

(x)

Ans :

(i) The given figure represents 2 shaded parts out of 4 equal parts.

Hence, Image011 .

(ii) The given figure represents 8 shaded parts out of 9 equal parts.

Hence, Image012 

(iii) The given figure represents 4 shaded parts out of 8 equal parts.

Hence, Image013

(iv) The given figure represents 1 shaded part out of 4 equal parts.

Hence, Image014

(v) The given figure represents 3 shaded parts out of 7 equal parts.

Hence, Image015

(vi) The given figure represents 3 shaded parts out of 12 equal parts.

Hence, Image016

(vii) The given figure represents 10 shaded parts out of 10 equal parts.

Hence, Image017

(viii) The given figure represents 4 shaded parts out of 9 equal parts.

Hence, Image018

(ix) The given figure represents 4 shaded parts out of 8 equal parts.

Hence, Image013

(x) The given figure represents 1 shaded part out of 2 equal parts.

Hence, Image019

Q.2: Colour the part according to the given fraction.

Image020

Image021

Image022

(i) Image023

(ii) Image014

(iii) Image024

Image025

Image026

(iv) Image027

(v) Image018

Ans :

(i)

Image028

(ii)

Image029

(iii)

Image030

(iv)

Image031

(v)

Image032

Q.3: Identify the error if any.

Image033

Ans :

The given figures do not represent the fractions as here each shape is not divided in equal parts.

Q.4: What fraction of a day is 8 hours?

Ans :

There are 24 hours in a day. Therefore, 8 hours of a day represent Image034.

Q.5: What fraction of an hour is 40 minutes?

Ans : There are 60 minutes in an hour. Therefore, 40 minutes of an hour represent Image035.

Q.6: Arya, Abhimanyu, and Vivek shared lunch. Arya has brought two sandwiches, one made of vegetable and one of jam. The other two boys forgot to bring their lunch. Arya agreed to share his sandwiches so that each person will have an equal share of each sandwich.

(a) How can Arya divide his sandwiches so that each person has an equal share?

(b) What part of a sandwich will each boy receive?

Ans :

(a) Arya will divide each sandwich in three equal parts. Then, he will give one part of each sandwich to each one of them.

(b) Each boy will receive Image024 part of each sandwich.

Q.7: Kanchan dyes dresses. She had to dye 30 dresses. She has so far finished 20 dresses. What fraction of dresses has she finished?

Ans :

Dress dyed so far = 20

Total dresses = 30

Fraction = Image036

Q.8: Write the natural numbers from 2 to 12. What fraction of them are prime numbers?

Ans :

Natural numbers from 2 to 12 are 2, 3, 4, 5, 6, 7, 8, 9, 10, 11, and 12.

Prime numbers among these are 2, 3, 5, 7, and 11.

Therefore, out of 11 numbers, 5 are prime numbers. It represents a fraction Image037.

Q.9: Write the natural numbers from 102 to 113. What fraction of them are prime numbers?

Ans :

Natural numbers from 102 to 113 are 102, 103, 104, 105, 106, 107, 108, 109, 110, 111, 112, 113

Among these numbers, the prime numbers are 103, 107, 109, and 113.

Therefore, out of 12 numbers, 4 are prime numbers. It represents a fraction Image038.

Q.10: What fractions of these circles have X’s in them?

Image039

Ans :

Thereare 4 circles, out of 8, having X’s in them. Therefore, it represents a fraction Image040.

Q.11: Kristin received a CD player for her birthday. She bought 3 CDs and received 5 others as gifts. What fraction of her total CDs did she buy and what fraction did she receive as gifts?

Ans :

Total CDs Kristin had on her birthday = 3 + 5 = 8

Out of 8 CDs, she bought 3 CDs and also got 5 CDs as gifts. Therefore, she bought and received CDs as gifts in a fraction of Image041 and Image042 respectively.

Exercise 7.2

Q.1: Draw number lines and locate the points on them:

(a) Image043 (b) Image044  (c) Image045

Ans :

(a) Image043

Image046

(b) Image044

Image047

(c) Image045

Image048

Q.2: Express the following as mixed fractions:

(a) Image049            (b) Image050        (c)  Image051

(d) Image052            (e) Image053        (f)  Image054

Ans :

(a)

Image055

(b)

Image056

(c)

Image057

(d)

Image058

(e)

Image059

(f)

Image060

Q.3: Express the following as improper fractions:

(a) Image061 (b) Image062 (c) Image063

(d) Image064 (e) Image065 (f) Image066

Ans :

(a) Image067

(b) Image068

(c) Image069Image070

(d) Image071Image072

(e) Image073Image074

(f) Image075Image076

Exercise 7.3

Q.1: Write the fractions. Are all these fractions equivalent?

(a)

Image077

(b)

Image078

Ans :

(a) In the given circles, 1 out of 2, 2 out of 4, 3 out of 6, and 4 out of 8 equal parts are shaded respectively. Therefore, these circles represent

Image079

Also, all these fractions are equivalent.

(b) In the given rectangles, 4 out of 12, 3 out of 9, 2 out of 6, 1 out of 3, and 6 out of 15 equal parts (i.e., circles) are shaded respectively. Therefore, these rectangles represent

Image080

No, not all of these fractions are equivalent.

Q.2: Write the fractions and pair up the equivalent fractions from each row.

Image081

Image082

Ans :

(a) Here, 1 part is shaded out of 2 equal parts (i.e., rectangle). Hence, this figure represents a fractionImage083.

(b) Here, 4 parts are shaded out of 6 equal parts (i.e., rectangle). Hence, this figure represents a fractionImage084

(c) Here, 3 parts are shaded out of 9 equal parts (i.e., squares). Hence, this figure represents a fraction Image085

(d) Here, 2 parts are shaded out of 8 equal parts (i.e., rectangle). Hence, this figure represents a fraction Image086

(e) Here, 3 parts are shaded out of 4 equal parts (i.e., squares). Hence, this figure represents a fraction Image087.

(i) Here, 6 parts are shaded out of 18 equal parts (i.e., triangles). Hence, this figure represents a fraction Image088

(ii) Here, 4 parts are shaded out of 8 equal parts (i.e., rectangles). Hence, this figure represents a fraction Image089

(iii) Here, 12 parts are shaded out of 16 equal parts (i.e., squares). Hence, this figure represents a fraction Image090

(iv) Here, 8 parts are shaded out of 12 equal parts (i.e., rectangles). Hence, this figure represents a fraction Image091

(v) Here, 4 parts are shaded out of 16 equal parts (i.e., triangles). Hence, this figure represents a fraction Image092

Now, these figures can be matched correctly as

(a) (ii), (b) (iv), (c) (i), (d) (v), (e) (iii)

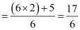
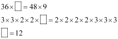
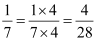
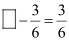
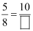
Q.3: Replace &mnSq2 in each of the following by the correct number:

(a) Image093 (b) Image094

(c) Image095 (d) Image096

(e) Image097

Ans :

(a) Image098

Image099

Hence, &mnSq2 can be replaced by 28.

(b) Image100

Image101

Hence, &mnSq2 can be replaced by 16.

(c) Image102

Image103

Hence, &mnSq2 can be replaced by 12.

(d) Image104

Image105

Hence, &mnSq2 can be replaced by 20.

(e) Image106

Image107

Hence, &mnSq2 can be replaced by 3.

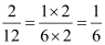
Q.4: Find the equivalent fraction of Image108having

(a) denominator 20 (b) numerator 9

(c) denominator 30 (d) numerator 27

Ans :

(a) Image102

Image109

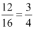
Hence, the required fraction isImage110.

(b) Image111

Image112

Hence, the required fraction isImage113.

(c) Image114

Image115

Hence, the required fraction isImage116.

(d) Image117

Image118

Hence, the required fraction isImage119.

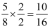
Q.5: Find the equivalent fraction of Image120with

(a) numerator 9 (b) denominator 4

Ans :

(a) Image121

Image122

Hence, the required fraction isImage123.

(b) Image124

Image125

Hence, the required fraction isImage087.

Q.6: Check whether the given fractions are equivalent:

(a) Image126 (b) Image127

(c) Image128

Ans :

(a) Image129

Image130

Clearly, both the fractions are equivalent.

(b) Image131

Image132

Image133

Clearly, both the fractions are not equivalent.

(c) Image134

Image135

Clearly, both the fractions are not equivalent.

Q.7: Reduce the following fractions to simplest form:

(a) Image136 (b) Image137

(c) Image138 (d) Image139

(e) Image140

Ans :

(a) Image141

(b) Image142

(c) Image143

(d) Image144

(e) Image145

Q.8: Ramesh had 20 pencils, Sheelu had 50 pencils and Jamaal had 80 pencils. After 4 months, Ramesh used up 10 pencils, Sheelu used up 25 pencils and Jamaal used up 40 pencils. What fraction did each use up? Check if each has used up an equal fraction of her/his pencils?

Ans :

Fraction used by Ramesh =Image146

Fraction used by Sheelu =Image147

Fraction used by Jamaal =Image148

Yes, all of them used equal fraction of pencils i.e., Image083.

Q.9: Match the equivalent fractions and write two more for each.

(i) Image149 (a) Image150 (iv) Image151 (d) Image152

(ii) Image153 (b) Image154 (v) Image155 (e) Image156

(iii) Image157 (c) Image158

Ans :

(i) Image159

Two more fractions are Image160.

(ii) Image161

Two more fractions are Image162.

(iii) Image163

Two more fractions are Image164.

(iv) Image165

Two more fractions are Image166.

(v) Image167

Two more fractions are Image168.

Now, these can be matched as

(i) Image169 (d), (ii) Image169 (e), (iii) Image169 (a), (iv) Image169 (c), (v) Image169 (b)

Exercise 7.4

Q.1: Write shaded portion as fraction. Arrange them in ascending and descending order using correct sign ‘<’, ‘=’, ‘>’ between the fractions:

(a)

Image170

(b)

Image171

(c) Show Image172on the number line. Put appropriate signs between the fractions given.

Image173

Ans :

(a)

Image174

Here, 1st circle represents 3 shaded parts out of 8 equal parts. Therefore, it represents a fraction Image175.

Image176

Here, 2nd circle represents 6 shaded parts out of 8 equal parts. Therefore, it represents a fraction Image177.

Image178

Here, 3rd circle represents 4 shaded parts out of 8 equal parts. Therefore, it represents a fraction Image179.

Image180

Here, 4th circle represents 1 shaded part out of 8 equal parts. Therefore, it represents a fraction Image181.

Now, these fractions may be arranged as

Image182

(b)

Image183

Here, 1st square represents 8 shaded parts out of 9 equal parts. Therefore, it represents a fractionImage184.

Image185

Here, 2nd square represents 4 shaded parts out of 9 equal parts. Therefore, it represents a fraction Image186.

Image187

Here, 3rd square represents 3 shaded parts out of 9 equal parts. Therefore, it represents a fraction Image188.

Image189

Here, 4th square represents 6 shaded parts out of 9 equal parts. Therefore, it represents a fraction Image190.

Now, these fractions can be arranged as

Image191

(c) To represent the given fractions Image192 on number line, each unit length should be divided in 6 equal parts. Now, these fractions can be represented as

Image193

Image194

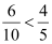
Q.2: Compare the fractions and put an appropriate sign.

(a) Image195 (b) Image196

(c) Image197 (d) Image198

Ans :

(a) Image199

Here, the denominators are same. Therefore, the fraction having the greater numerator will be greater.

(b) Image200

Image201

As 4 < 7,

Image202

(c) Image203

Here, the denominators are same. Therefore, the fraction having the greater numerator will be greater.

(d) Image204

Here, the numerators are same. Therefore, the fraction having lesser denominator will be greater.

Q.3: Make five more such pairs and put appropriate sign.

Ans :

(i) Image205

Here, the denominators are same. Therefore, the fraction having the greater numerator will be greater.

(ii) Image206

Here, the denominators are same. Therefore, the fraction having the greater numerator will be greater.

(iii) Image207

Here, numerators are same. Therefore, the fraction having the lesser denominator will be greater.

(iv) Image208

Here, the denominators are same. Therefore, the fraction having the greater numerator will be greater.

(v) Image209

Here, the numerators are same. Therefore, the fraction having the lesser denominator will be greater.

Q.4: Look at the figures and write ‘<’ or ‘>’, ‘=’ between the given pairs of fractions.

Image210

(a) Image211

(b) Image212

(c) Image213

(d) Image214

(e) Image215

Ans :

(a) Here, the numerators are same. Therefore, the fraction having the lesser denominator will be greater.

Hence, Image216

(b) Image217

Image218

As the denominators of Image219 are same, the fraction having the greater numerator will be greater.

Hence, Image220

(c) Here, the numerators are same. Therefore, the fraction having the lesser denominator will be greater.

Hence, Image221

(d) As Image222 ,

Image223

(e) Here, the numerators are same. Therefore, the fraction having the lesser denominator will be greater.

Hence, Image224

Q.5: How quickly can you do this? Fill appropriate sign (‘<’, ‘=’, ‘>’)

(a) Image225 (b) Image226

(c) Image227 (d) Image228

(e) Image229 (f) Image230

(g) Image231 (h) Image232

(i) Image233 (j) Image232

(k) Image234

Ans :

(a) Here, the numerators are same. Therefore, the fraction having the lesser denominator will be greater.

Hence, Image235

(b) Image236

Hence, Image237

(c) Image238

Image239

As the denominators of Image240 are same, the fraction having the greater numerator will be greater.

Hence, Image241

(d) Image086

As the denominators of Image242 are same, the fraction having the greater numerator will be greater.

Hence, Image243

(e) Here, the denominators are same. Therefore, the fraction having the greater numerator will be greater.

Hence, Image244

(f) Here, the denominators are same. Therefore, the fraction having the greater numerator will be greater.

Hence, Image245

(g) Image086

Hence, Image246

(h) Image247

As the denominators of Image248 are same, the fraction having the greater numerator will be greater.

Hence, Image249

(i) Image250

As the denominators of Image251 are same, the fraction having the greater numerator will be greater.

Hence, Image252

(j) Image247

As the denominators of Image248 are same, the fraction having the greater numerator will be greater.

Hence, Image249

(k) Image253

Hence, Image254

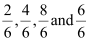
Q.6: The following fractions represent just three different numbers. Separate them into three groups of equivalent fractions, by changing each one to its simplest form.

(a) Image255 (b) Image256

(c) Image257 (d) Image258

(e) Image259 (f) Image260

(g) Image261 (h) Image262

(i) Image263 (j) Image263

(k) Image264 (l) Image265

Ans :

(a) Image266

(b) Image267

(c) Image268

(d) Image269

(e) Image270

(f) Image271

(g) Image272

(h) Image273

(i) Image274

(j) Image275

(k) Image276

(l) Image277

There are 3 groups of equivalent fractions

Image278 (a), (e), (h), (j), (k)

Image279 (b), (f), (g)

Image280(c), (d), (i), (l)

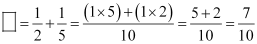
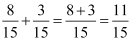
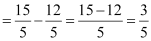
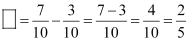
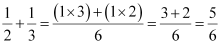
Q.7: Find answers to the following. Write and indicate how you solved them.

(a) Image281 ? (b) Image282?

(c) Image283? (d) Image284?

Ans :

(a) Image285

Converting these into like fractions,

Image286

Therefore, Image287

(b) Image288

Converting these into like fractions,

Image289

Image290

(c) Image291

Image292

Therefore, Image293

(d) Image294

Image295

Image296

Q.8: Ila read 25 pages of a book containing 100 pages. Lalita read Image154of the same book. Who read less?

Ans :

Numbers of pages read by Lalita =Image297= 40

Number of pages read by Ila = 25

Hence, Ila has read less number of pages.

Q.9: Rafiq exercised for Image298 of an hour, while Rohit exercised for Image299of an hour.

Who exercised for a longer time?

Ans :

Rafiq exercised for Image300and Rohit exercised for Image301

Converting these into like fractions,

Image302

Image303

Hence, Rohit exercised for a longer time.

Q.10: In a class A of 25 students, 20 passed in first class; in another class B of 30 students, 24 passed in first class. In which class was a greater fraction of students getting first class?

Ans :

Fraction of students of class A who passed in Ist class =Image304 Image305

Fraction of students of class B who passed in Ist class =Image306

From both classes, an equal fraction of students passed in first class.

Exercise 7.5

Q.1: Write these fractions appropriately as additions or subtractions:

(a)

Image307

(b)

Image308

(c)

Image309

Ans :

(a) Here, it can be observed that 1st, 2nd, and 3rd rectangles are representing 1, 2, and 3 shaded parts out of 5 equal parts respectively. Clearly, the fraction represented by 3rd rectangle is the sum of the fractions represented by 1st and 2nd rectangles.

Hence, Image310

(b) Here, it can be observed that 1st, 2nd, and 3rd circles are representing 5, 3, and 2 shaded parts out of 5 equal parts respectively. Clearly, the fraction represented by 3rd circle is the difference between the fractions represented by 1st and 2nd circles.

Hence,Image311

(c) Here, it can be observed that 1st, 2nd, and 3rd rectangles are representing 2, 3, and 5 shaded parts out of 6 equal parts respectively. Clearly, the fraction represented by 3rd rectangle is the sum of the fractions represented by 1st and 2nd rectangles.

Hence, Image312

Q.2: Solve:

(a) Image313 (b) Image314

(c) Image315 (d) Image316

(e) Image317 (f) Image318

(g) Image319 (h) Image320

(i) Image321

Ans :

(a) Image322

(b) Image323

(c) Image324

(d) Image325

(e) Image326

(f) Image327

(g) Image328Image329

(h) Image330

(i) Image331 Image332

Q.3: Shubham painted Image150of the wall space in his room. His sister Madhavi helped and painted Image333of the wall space. How much did they paint together?

Ans :

Space painted by Shubham =Image334 of the room

Space painted by Madhavi =Image335 of the room

Hence, together they painted =Image336of the room

= 1 = the complete wall

Q.4: Fill in the missing fractions.

(a) Image337 (b) Image338

(c) Image339 (d) Image340

Ans :

(a) Image337

Image341

(b) Image338

Image342

(c) Image339

Image343

(d) Image340

Image344

Q.5: Javed was given Image345of a basket of oranges. What fraction of oranges was left in the basket?

Ans :

Fractions given to Javed =Image346

Fraction left in the basket = Image347Image348Image349

Exercise 7.6

Q.1: Solve

(a) Image350 (b) Image351

(c) Image352 (d) Image353

(e) Image354 (f) Image355

(g) Image356 (h) Image357

(i) Image358 (j) Image359

(k) Image360 (l) Image361

(m) Image362 (n) Image363

Ans :

(a) Image364

Image365

(b) Image366

Image367

(c) Image368

Image369

(d) Image370

Image371

(e) Image372

Image373

(f) Image374

Image375

(g) Image376

Image377

(h) Image378

Image379

(i) Image380

Image381

(j) Image382

Image383

(k) Image384

Image385

(l) Image386

Image387

(m) Image388 Image389

(n) Image390

Image391

Q.2: Sarita bought Image154metre of ribbon and Lalita Image299metre of ribbon. What is the total length of the ribbon they bought?

Ans :

Length of ribbon bought by Sarita =Image392

Length of ribbon bought by Lalita =Image393

Total length of ribbon bought by them =Image394

Image395

Q.3: Naina was given Image396piece of cake and Najma was given Image397piece of cake. Find the total amount of cake was given to both of them.

Ans :

Fraction Naina got =Image398

Fraction Najma got =Image399

Image400

Q.4: Fill in the boxes: (a) Image401 (b) Image402 (c) Image403

Ans :

(a) Image401

Image404

(b) Image402

Image405

(c) Image403

Image406

Q.5: Complete the addition-subtraction box.

(a)

Image407

(b)

Image408

Ans :

(a) Image409

Image410

Hence, the given box can be completed as

Image411

(b) Image412

Image413

Hence, the given box can be completed as

Image414

Q.6: A piece of wire Image415metre long broke into two pieces. One piece was Image416metre long. How long is the other piece?

Ans :

Length of one piece =Image417

The length of the other piece of wire will be the difference of the lengths of the original wire and this piece of wire.

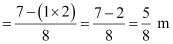
Hence, length of the other piece of wire = Image418

Image419

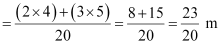
Q.7: Nandini’s house is Image156km from her school. She walked some distance and then took a bus for Image158km to reach the school. How far did she walk?

Ans :

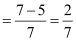
Distance walked by Nandini = Total distance − Distance for which she took the bus

Image420

Q.8: Asha and Samuel have bookshelves of the same size partly filled with books.

Asha’s shelf is Image421th full and Samuel’s shelf is Image154th full. Whose bookshelf is more full? By what fraction?

Ans :

Fraction of Asha’s shelf =Image422

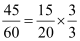
Fraction of Samuel’s shelf =Image423

Converting these into like fractions,

Image424

Clearly, Asha’s bookshelf is more full.

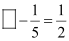
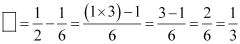
Difference = Image425 Image426

Q.9: Jaidev takes Image427minutes to walk across the school ground. Rahul takes Image428minutes to do the same. Who takes less time and by what fraction?

Ans :

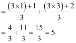
Time taken by Jaidev =Image429 minutes =Image430 min

Time taken by Rahul =Image431 min

Converting these into like fractions,

Image432

Image433

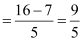
Hence, Rahul takes lesser time.

Difference = Image434

Image435


Online Tuitions and Self-Study Courses for Grade 6 to 12 & JEE / NEET

Shopping Cart