Class 12 Chemistry
Chapter 2 – Solutions
NCERT Solutions
Intext Questions
Q.1: Calculate the mass percentage of benzene (C6H6) and carbon tetrachloride (CCl4) if 22 g of benzene is dissolved in 122 g of carbon tetrachloride.
Ans:
Mass percentage of C6H6 

Mass percentage of CCl4

Alternatively,
Mass percentage of CCl4 = (100 − 15.28)%
= 84.72%
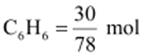
Q.2: Calculate the mole fraction of benzene in solution containing 30% by mass in carbon tetrachloride.
Ans:
Let the total mass of the solution be 100 g and the mass of benzene be 30 g.
∴Mass of carbon tetrachloride = (100 − 30)g
= 70 g
Molar mass of benzene (C6H6) = (6 × 12 + 6 × 1) g mol−1
= 78 g mol−1
∴Number of moles of 
= 0.3846 mol
Molar mass of carbon tetrachloride (CCl4) = 1 × 12 + 4 × 35.5
= 154 g mol−1
∴Number of moles of CCl4 
= 0.4545 mol
Thus, the mole fraction of C6H6 is given as:


= 0.458
Q.3: Calculate the molarity of each of the following solutions: (a) 30 g of Co(NO3)2. 6H2O in 4.3 L of solution (b) 30 mL of 0.5 M H2SO4 diluted to 500 mL.
Ans:
Molarity is given by:

(a) Molar mass of Co (NO3)2.6H2O = 59 + 2 (14 + 3 × 16) + 6 × 18
= 291 g mol−1
∴Moles of Co (NO3)2.6H2O 
= 0.103 mol
Therefore, molarity 
= 0.023 M
(b) Number of moles present in 1000 mL of 0.5 M H2SO4 = 0.5 mol
∴Number of moles present in 30 mL of 0.5 M H2SO4

= 0.015 mol
Therefore, molarity

= 0.03 M
Q.4: Calculate the mass of urea (NH2CONH2) required in making 2.5 kg of 0.25 molal aqueous solution.
Ans:
Molar mass of urea (NH2CONH2) = 2(1 × 14 + 2 × 1) + 1 × 12 + 1 × 16
= 60 g mol−1
0.25 molar aqueous solution of urea means:
1000 g of water contains 0.25 mol = (0.25 × 60)g of urea
= 15 g of urea
That is,
(1000 + 15) g of solution contains 15 g of urea
Therefore, 2.5 kg (2500 g) of
solution contains 
= 36.95 g
= 37 g of urea (approximately)
Hence, mass of urea required = 37 g
Note: There is a slight variation in this answer and the one given in the NCERT textbook.
Q.5: Calculate (a) molality (b) molarity and (c) mole fraction of KI if the density of 20% (mass/mass) aqueous KI is 1.202 g mL-1.
Ans:
(a) Molar mass of KI = 39 + 127 = 166 g mol−1
20% (mass/mass) aqueous solution of KI means 20 g of KI is present in 100 g of solution.
That is,
20 g of KI is present in (100 − 20) g of water = 80 g of water
Therefore, molality of the
solution 

= 1.506 m
= 1.51 m (approximately)
(b) It is given that the density of the solution = 1.202 g mL−1
∴Volume of 100 g solution 

= 83.19 mL
= 83.19 × 10−3 L
Therefore, molarity of the
solution 
= 1.45 M
(c) Moles of KI 
Moles of water 
Therefore, mole fraction of
KI 

= 0.0263
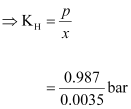
Q.6: H2S, a toxic gas with rotten egg like smell, is used for the qualitative analysis. If the solubility of H2S in water at STP is 0.195 m, calculate Henry’s law constant.
Ans:
It is given that the solubility of H2S in water at STP is 0.195 m, i.e., 0.195 mol of H2S is dissolved in 1000 g of water.
Moles of water 
= 55.56 mol
∴Mole fraction of H2S, x

= 0.0035
At STP, pressure (p) = 0.987 bar
According to Henry’s law:
p = KHx

= 282 bar
Q.7: Henry’s law constant for CO2 in water is 1.67 × 108 Pa at 298 K. Calculate the quantity of CO2 in 500 mL of soda water when packed under 2.5 atm CO2 pressure at 298 K.
Ans:
It is given that:
KH = 1.67 × 108 Pa
=
2.5 atm = 2.5 × 1.01325 × 105 Pa
= 2.533125 × 105 Pa
According to Henry’s law:

= 0.00152
We can write, 
[Since,
is
negligible as compared to
]
In 500 mL of soda water, the volume of water = 500 mL
[Neglecting the amount of soda present]
We can write:
500 mL of water = 500 g of water

= 27.78 mol of water
Now, 

Hence, quantity of CO2 in 500 mL of soda water = (0.042 × 44)g
= 1.848 g
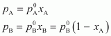
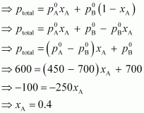
Q.8: The vapour pressure of pure liquids A and B are 450 and 700 mm Hg respectively, at 350 K. Find out the composition of the liquid mixture if total vapour pressure is 600 mm Hg. Also find the composition of the vapour phase.
Ans:
It is given that:
=
450 mm of Hg
=
700 mm of Hg
ptotal = 600 mm of Hg
From Raoult’s law, we have:

Therefore, total pressure, 

Therefore, 
= 1 − 0.4
= 0.6
Now,

= 450 × 0.4
= 180 mm of Hg

= 700 × 0.6
= 420 mm of Hg
Now, in the vapour phase:
Mole fraction of liquid A

= 0.30
And, mole fraction of liquid B = 1 − 0.30
= 0.70
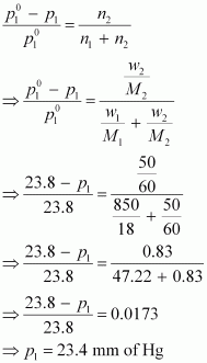
Q.9: Vapour pressure of pure water at 298 K is 23.8 mm Hg. 50 g of urea (NH2CONH2) is dissolved in 850 g of water. Calculate the vapour pressure of water for this solution and its relative lowering.
Ans:
It is given that vapour pressure
of water,
=
23.8 mm of Hg
Weight of water taken, w1 = 850 g
Weight of urea taken, w2 = 50 g
Molecular weight of water, M1 = 18 g mol−1
Molecular weight of urea, M2 = 60 g mol−1
Now, we have to calculate vapour pressure of water in the solution. We take vapour pressure as p1.
Now, from Raoult’s law, we have:

Hence, the vapour pressure of water in the given solution is 23.4 mm of Hg and its relative lowering is 0.0173.
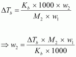
Q.10: Boiling point of water at 750 mm Hg is 99.63°C. How much sucrose is to be added to 500 g of water such that it boils at 100°C. Molal elevation constant for water is 0.52 K kg mol−1.
Ans:
Here, elevation of boiling point ΔTb = (100 + 273) − (99.63 + 273)
= 0.37 K
Mass of water, wl = 500 g
Molar mass of sucrose (C12H22O11), M2 = 11 × 12 + 22 × 1 + 11 × 16
= 342 g mol−1
Molal elevation constant, Kb = 0.52 K kg mol−1
We know that:


= 121.67 g (approximately)
Hence, 121.67 g of sucrose is to be added.
Note: There is a slight variation in this answer and the one given in the NCERT textbook.
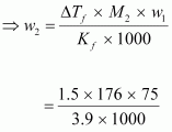
Q.11: Calculate the mass of ascorbic acid (Vitamin C, C6H8O6) to be dissolved in
75 g of acetic acid to lower its melting point by 1.5°C. Kf = 3.9 K kg mol−1.
Ans:
Mass of acetic acid, w1 = 75 g
Molar mass of ascorbic acid (C6H8O6), M2 = 6 × 12 + 8 × 1 + 6 × 16
= 176 g mol−1
Lowering of melting point, ΔTf = 1.5 K
We know that:


≈ 5.08 g
Hence, 5.08 g of ascorbic acid is needed to be dissolved.
Note: There is a slight variation in this answer and the one given in the NCERT textbook.
Q.12: Calculate the osmotic pressure in pascals exerted by a solution prepared by dissolving 1.0 g of polymer of molar mass 185,000 in 450 mL of water at 37°C.
Ans:
It is given that:
Volume of water, V = 450 mL = 0.45 L
Temperature, T = (37 + 273)K = 310 K
Number of moles of the
polymer, 
We know that:
Osmotic pressure, 

= 30.98 Pa
= 31 Pa (approximately)
Online Tuitions & Self-Study Courses for Grade 6 to 12 & JEE / NEET
