Class 12 Chemistry
Chapter 2 – Solutions
NCERT Solutions
Exercise Questions
Q.1: Define the term solution. How many types of solutions are formed? Write briefly about each type with an example.
Ans:
Homogeneous mixtures of two or more than two components are known as solutions.
There are three types of solutions.
(i) Gaseous solution:
The solution in which the solvent is a gas is called a gaseous solution. In these solutions, the solute may be liquid, solid, or gas. For example, a mixture of oxygen and nitrogen gas is a gaseous solution.
(ii) Liquid solution:
The solution in which the solvent is a liquid is known as a liquid solution. The solute in these solutions may be gas, liquid, or solid.
For example, a solution of ethanol in water is a liquid solution.
(iii) Solid solution:
The solution in which the solvent is a solid is known as a solid solution. The solute may be gas, liquid or solid. For example, a solution of copper in gold is a solid solution.
Q.2: Give an example of solid solution in which the solute is a gas.
Ans:
In case a solid solution is formed between two substances (one having very large particles and the other having very small particles), an interstitial solid solution will be formed. For example, a solution of hydrogen in palladium is a solid solution in which the solute is a gas.
Q.3: Define the following terms:
(i) Mole fraction
(ii) Molality
(iii) Molarity
(iv) Mass percentage.
Ans:
(i) Mole fraction:
The mole fraction of a component in a mixture is defined as the ratio of the number of moles of the component to the total number of moles of all the components in the mixture.
i.e.,
Mole fraction of a
component 
Mole fraction is denoted by ‘x’.
If in a binary solution, the number of moles of the solute and the solvent are nA and nB respectively, then the mole fraction of the solute in the solution is given by,

Similarly, the mole fraction of the solvent in the solution is given as:

(ii) Molality
Molality (m) is defined as the number of moles of the solute per kilogram of the solvent. It is expressed as:
Molality (m)
(iii) Molarity
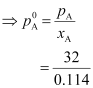
Molarity (M) is defined as the number of moles of the solute dissolved in one Litre of the solution.
It is expressed as:
Molarity (M)
(iv) Mass percentage:
The mass percentage of a component of a solution is defined as the mass of the solute in grams present in 100 g of the solution. It is expressed as:
Mass % of a component 
Q.4: Concentrated nitric acid used in laboratory work is 68% nitric acid by mass in aqueous solution. What should be the molarity of such a sample of the acid if the density of the solution is 1.504 g mL−1?
Ans:
Concentrated nitric acid used in laboratory work is 68% nitric acid by mass in an aqueous solution. This means that 68 g of nitric acid is dissolved in 100 g of the solution.
Molar mass of nitric acid (HNO3) = 1 × 1 + 1 × 14 + 3 × 16 = 63 g mol−1
Then, number of moles of HNO3 

Given,
Density of solution = 1.504 g mL−1
Volume of 100 g solution = 

Molarity of solution 

Q.5: A solution of glucose in water is labelled as 10% w/w, what would be the molality and mole fraction of each component in the solution? If the density of solution is 1.2 g mL−1, then what shall be the molarity of the solution?
Ans:
10% w/w solution of glucose in water means that 10 g of glucose in present in 100 g of the solution i.e., 10 g of glucose is present in (100 − 10) g = 90 g of water.
Molar mass of glucose (C6H12O6) = 6 × 12 + 12 × 1 + 6 × 16 = 180 g mol−1
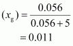
Then, number of moles of
glucose 
= 0.056 mol
Molality of solution
=
0.62 m
Number of moles of water 
= 5 mol
Mole fraction of glucose

And, mole fraction of water 
= 1 − 0.011
= 0.989
If the density of the solution is 1.2 g mL−1, then the volume of the 100 g solution can be given as:

Molarity of the solution 
= 0.67 M
Q.6: How many mL of 0.1 M HCl are required to react completely with 1 g mixture of Na2CO3 and NaHCO3 containing equimolar amounts of both?
Ans:
Let the amount of Na2CO3 in the mixture be x g.
Then, the amount of NaHCO3 in the mixture is (1 − x) g.
Molar mass of Na2CO3 = 2 × 23 + 1 × 12 + 3 × 16
= 106 g mol−1
Number of moles Na2CO3 
Molar mass of NaHCO3 = 1 × 23 + 1 × 1 × 12 + 3 × 16
= 84 g mol−1
Number of moles of NaHCO3 
According to the question,

⇒ 84x = 106 − 106x
⇒ 190x = 106
⇒ x = 0.5579
Therefore, number of moles of Na2CO3 
= 0.0053 mol
And, number of moles of NaHCO3 
= 0.0053 mol
HCl reacts with Na2CO3 and NaHCO3 according to the following equation.


1 mol of Na2CO3 reacts with 2 mol of HCl.
Therefore, 0.0053 mol of Na2CO3 reacts with 2 × 0.0053 mol = 0.0106 mol.
Similarly, 1 mol of NaHCO3 reacts with 1 mol of HCl.
Therefore, 0.0053 mol of NaHCO3 reacts with 0.0053 mol of HCl.
Total moles of HCl required = (0.0106 + 0.0053) mol
= 0.0159 mol
In 0.1 M of HCl,
0.1 mol of HCl is preset in 1000 mL of the solution.
Therefore, 0.0159 mol of HCl is
present in 
= 159 mL of the solution
Hence, 159 mL of 0.1 M of HCl is required to react completely with 1 g mixture of Na2CO3 and NaHCO3, containing equimolar amounts of both.
Q.7: A solution is obtained by mixing 300 g of 25% solution and 400 g of 40% solution by mass. Calculate the mass percentage of the resulting solution.
Ans:
Total amount of solute present in the mixture is given by,

= 75 + 160
= 235 g
Total amount of solution = 300 + 400 = 700 g
Therefore, mass percentage (w/w)
of the solute in the resulting solution, 
= 33.57%
And, mass percentage (w/w) of the solvent in the resulting solution,
= (100 − 33.57)%
= 66.43%
Q.8: An antifreeze solution is prepared from 222.6 g of ethylene glycol (C2H6O2) and 200 g of water. Calculate the molality of the solution. If the density of the solution is 1.072 g mL−1, then what shall be the molarity of the solution?
Ans:
Molar mass of ethylene glycol
=
2 × 12 + 6 × 1 + 2 ×16
= 62 gmol−1
Number of moles of ethylene
glycol 
= 3.59 mol
Therefore, molality of the
solution 
= 17.95 m
Total mass of the solution = (222.6 + 200) g
= 422.6 g
Given,
Density of the solution = 1.072 g mL−1
Volume of the solution 
= 394.22 mL
= 0.3942 × 10−3 L
Molarity of the solution 
= 9.11 M
Q.9: A sample of drinking water was found to be severely contaminated with chloroform (CHCl3) supposed to be a carcinogen. The level of contamination was 15 ppm (by mass):
(i) express this in percent by mass
(ii) determine the molality of chloroform in the water sample.
Ans:
(i) 15 ppm (by mass) means 15 parts per million (106) of the solution.
Therefore, percent by mass 
= 1.5 × 10−3 %
(ii) Molar mass of chloroform (CHCl3) = 1 × 12 + 1 × 1 + 3 × 35.5
= 119.5 g mol−1
Now, according to the question,
15 g of chloroform is present in 106 g of the solution.
i.e., 15 g of chloroform is present in (106 − 15) ≈ 106 g of water.
Molality of the solution
= 1.26 × 10−4 m
Q.10: What role does the molecular interaction play in a solution of alcohol and water?
Ans:
In pure alcohol and water, the molecules are held tightly by a strong hydrogen bonding. The interaction between the molecules of alcohol and water is weaker than alcohol−alcohol and water−water interactions. As a result, when alcohol and water are mixed, the intermolecular interactions become weaker and the molecules can easily escape. This increases the vapour pressure of the solution, which in turn lowers the boiling point of the resulting solution.
Q.11: Why do gases always tend to be less soluble in liquids as the temperature is raised?
Ans:
Solubility of gases in liquids decreases with an increase in temperature. This is because dissolution of gases in liquids is an exothermic process.

Therefore, when the temperature is increased, heat is supplied and the equilibrium shifts backwards, thereby decreasing the solubility of gases.
Q.12: State Henry’s law and mention some important applications?
Ans:
Henry’s law states that partial pressure of a gas in the vapour phase is proportional to the mole fraction of the gas in the solution. If p is the partial pressure of the gas in the vapour phase and x is the mole fraction of the gas, then Henry’s law can be expressed as:
p = KH x
Where,
KH is Henry’s law constant
Some important applications of Henry’s law are mentioned below.
(i) Bottles are sealed under high pressure to increase the solubility of CO2 in soft drinks and soda water.
(ii) Henry’s law states that the solubility of gases increases with an increase in pressure. Therefore, when a scuba diver dives deep into the sea, the increased sea pressure causes the nitrogen present in air to dissolve in his blood in great amounts. As a result, when he comes back to the surface, the solubility of nitrogen again decreases and the dissolved gas is released, leading to the formation of nitrogen bubbles in the blood. This results in the blockage of capillaries and leads to a medical condition known as ‘bends’ or ‘decompression sickness’.
Hence, the oxygen tanks used by scuba divers are filled with air and diluted with helium to avoid bends.
(iii) The concentration of oxygen is low in the blood and tissues of people living at high altitudes such as climbers. This is because at high altitudes, partial pressure of oxygen is less than that at ground level. Low-blood oxygen causes climbers to become weak and disables them from thinking clearly. These are symptoms of anoxia.
Q.13: The partial pressure of ethane over a solution containing 6.56 × 10−3 g of ethane is 1 bar. If the solution contains 5.00 × 10−2 g of ethane, then what shall be the partial pressure of the gas?
Ans:
Molar mass of ethane (C2H6) = 2 × 12 + 6 × 1
= 30 g mol−1
Number of moles present in 6.56 × 10−3 g
of ethane
= 2.187 × 10−4 mol
Let the number of moles of the solvent be x.
According to Henry’s law,
p = KHx

Number of moles present in 5.00 ×
10−2 g of ethane 
= 1.67 × 10−3 mol
According to Henry’s law,
p = KHx

= 7.636 bar
Hence, partial pressure of the gas shall be 7.636 bar.
Q.14: What is meant by positive and negative deviations from Raoult's law and how is the sign of ΔsolH related to positive and negative deviations from Raoult's law?
Ans:
According to Raoult’s law, the partial vapour pressure of each volatile component in any solution is directly proportional to its mole fraction. The solutions which obey Raoult’s law over the entire range of concentration are known as ideal solutions. The solutions that do not obey Raoult’s law (non-ideal solutions) have vapour pressures either higher or lower than that predicted by Raoult’s law. If the vapour pressure is higher, then the solution is said to exhibit positive deviation, and if it is lower, then the solution is said to exhibit negative deviation from Raoult’s law.

Vapour pressure of a two-component solution showing positive deviation from Raoult’s law

Vapour pressure of a two-component solution showing negative deviation from Raoult’s law
In the case of an ideal solution, the enthalpy of the mixing of the pure components for forming the solution is zero.
ΔsolH = 0
In the case of solutions showing positive deviations, absorption of heat takes place.
∴ ΔsolH = Positive
In the case of solutions showing negative deviations, evolution of heat takes place.
∴ ΔsolH = Negative
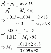
Q.15: An aqueous solution of 2% non-volatile solute exerts a pressure of 1.004 bar at the normal boiling point of the solvent. What is the molar mass of the solute?
Ans:
Here,
Vapour pressure of the solution at normal boiling point (p1) = 1.004 bar
Vapour pressure of pure water at
normal boiling point 
Mass of solute, (w2) = 2 g
Mass of solvent (water), (w1) = 98 g
Molar mass of solvent (water), (M1) = 18 g mol−1
According to Raoult’s law,

= 41.35 g mol−1
Hence, the molar mass of the solute is 41.35 g mol−1.
Q.16: Heptane and octane form an ideal solution. At 373 K, the vapour pressures of the two liquid components are 105.2 kPa and 46.8 kPa respectively. What will be the vapour pressure of a mixture of 26.0 g of heptane and 35 g of octane?
Ans:
Vapour pressure of heptane 
Vapour pressure of octane
=
46.8 kPa
We know that,
Molar mass of heptane (C7H16) = 7 × 12 + 16 × 1
= 100 g mol−1
Number of moles of heptane 
= 0.26 mol
Molar mass of octane (C8H18) = 8 × 12 + 18 × 1
= 114 g mol−1
Number of moles of octane
= 0.31 mol
Mole fraction of heptane,
= 0.456
And, mole fraction of octane, x2 = 1 − 0.456
= 0.544
Now, partial pressure of
heptane, 
= 0.456 × 105.2
= 47.97 kPa
Partial pressure of octane, 
= 0.544 × 46.8
= 25.46 kPa
Hence, vapour pressure of solution, ptotal = p1 + p2
= 47.97 + 25.46
= 73.43 kPa
Q.17: The vapour pressure of water is 12.3 kPa at 300 K. Calculate vapour pressure of 1 molal solution of a non-volatile solute in it.
Ans:
1 molal solution means 1 mol of the solute is present in 1000 g of the solvent (water).
Molar mass of water = 18 g mol−1
Number of moles present in 1000 g of water 
= 55.56 mol
Therefore, mole fraction of the solute in the solution is
.
It is given that,
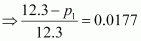
Vapour pressure of water,
=
12.3 kPa
Applying the relation, 

⇒ 12.3 − p1 = 0.2177
⇒ p1 = 12.0823
= 12.08 kPa (approximately)
Hence, the vapour pressure of the solution is 12.08 kPa.
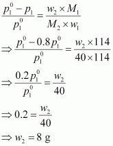
Q.18: Calculate the mass of a non-volatile solute (molar mass 40 g mol−1) which should be dissolved in 114 g octane to reduce its vapour pressure to 80%.
Ans:
Let the vapour pressure of pure
octane be
Then, the vapour pressure of the
octane after dissolving the non-volatile solute is 
Molar mass of solute, M2 = 40 g mol−1
Mass of octane, w1 = 114 g
Molar mass of octane, (C8H18), M1 = 8 × 12 + 18 × 1
= 114 g mol−1
Applying the relation,

Hence, the required mass of the solute is 8 g.
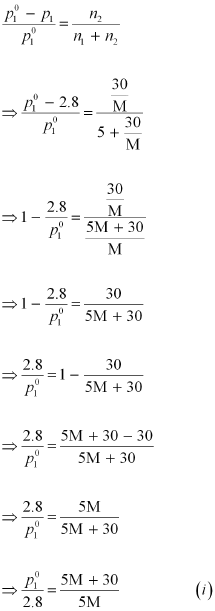
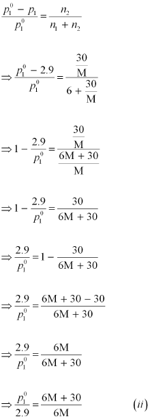
Q.19: A solution containing 30 g of non-volatile solute exactly in 90 g of water has a vapour pressure of 2.8 kPa at 298 K. Further, 18 g of water is then added to the solution and the new vapour pressure becomes 2.9 kPa at 298 K. Calculate: molar mass of the solute vapour pressure of water at 298 K.
Ans:
(i) Let, the molar mass of the solute be M g mol−1
Now, the no. of moles of solvent
(water), 
And, the no. of moles of
solute, 

Applying the relation:

After the addition of 18 g of water:

Again, applying the relation:

Dividing equation (i) by (ii), we have:

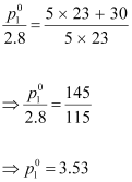
Therefore, the molar mass of the solute is 23 g mol−1.
(ii) Putting the value of ‘M’ in equation (i), we have:

Hence, the vapour pressure of water at 298 K is 3.53 kPa.
Q.20: A 5% solution (by mass) of cane sugar in water has freezing point of 271 K. Calculate the freezing point of 5% glucose in water if freezing point of pure water is 273.15 K.
Ans:
Here, ΔTf = (273.15 − 271) K
= 2.15 K
Molar mass of sugar (C12H22O11) = 12 × 12 + 22 × 1 + 11 × 16
= 342 g mol−1
5% solution (by mass) of cane sugar in water means 5 g of cane sugar is present in (100 − 5)g = 95 g of water.
Now, number of moles of cane sugar
= 0.0146 mol
Therefore, molality of the
solution, 
= 0.1537 mol kg−1
Applying the relation,
ΔTf = Kf × m

= 13.99 K kg mol−1
Molar of glucose (C6H12O6) = 6 × 12 + 12 × 1 + 6 × 16
= 180 g mol−1
5% glucose in water means 5 g of glucose is present in (100 − 5) g = 95 g of water.
Number of moles of glucose 
= 0.0278 mol
Therefore, molality of the
solution, 
= 0.2926 mol kg−1
Applying the relation,
ΔTf = Kf × m
= 13.99 K kg mol−1 × 0.2926 mol kg−1
= 4.09 K (approximately)
Hence, the freezing point of 5% glucose solution is (273.15 − 4.09) K= 269.06 K.
Q.21: Two elements A and B form compounds having formula AB2 and AB4. When dissolved in 20 g of benzene (C6H6), 1 g of AB2 lowers the freezing point by 2.3 Kwhereas 1.0 g of AB4 lowers it by 1.3 K. The molar depression constant for benzene is 5.1 Kkg mol−1. Calculate atomic masses of A and B.
Ans:
We know that,

Then, 
= 110.87 g mol−1

= 196.15 g mol−1
Now, we have the molar masses of AB2 and AB4 as 110.87 g mol−1 and 196.15 g mol−1 respectively.
Let the atomic masses of A and B be x and y respectively.
Now, we can write:

Subtracting equation (i) from (ii), we have
2y = 85.28
⇒ y = 42.64
Putting the value of ‘y’ in equation (1), we have
x + 2 × 42.64 = 110.87
⇒ x = 25.59
Hence, the atomic masses of A and B are 25.59 u and 42.64 u respectively.
Q.22: At 300 K, 36 g of glucose present in a litre of its solution has an osmotic pressure of 4.98 bar. If the osmotic pressure of the solution is 1.52 bars at the same temperature, what would be its concentration?
Ans:
Here,
T = 300 K
π = 1.52 bar
R = 0.083 bar L K−1 mol−1
Applying the relation,
π = CRT

= 0.061 mol
Since the volume of the solution is 1 L, the concentration of the solution would be 0.061 M.
Q.23: Suggest the most important type of intermolecular attractive interaction in the following pairs.
(i) n-hexane and n-octane
(ii) I2 and CCl4
(iii) NaClO4 and water
(iv) methanol and acetone
(v) acetonitrile (CH3CN) and acetone (C3H6O).
Ans:
(i) Van der Wall’s forces of attraction.
(ii) Van der Wall’s forces of attraction.
(iii) Ion-diople interaction.
(iv) Dipole-dipole interaction.
(v) Dipole-dipole interaction.
Q.24: Based on solute-solvent interactions, arrange the following in order of increasing solubility in n-octane and explain. Cyclohexane, KCl, CH3OH, CH3CN.
Ans:
n-octane is a non-polar solvent. Therefore, the solubility of a non-polar solute is more than that of a polar solute in the n-octane.
The order of increasing polarity is:
Cyclohexane < CH3CN < CH3OH < KCl
Therefore, the order of increasing solubility is:
KCl < CH3OH < CH3CN < Cyclohexane
Q.25: Amongst the following compounds, identify which are insoluble, partially soluble and highly soluble in water?
(i) phenol (ii) toluene (iii) formic acid
(iv) ethylene glycol (v) chloroform (vi) pentanol.
Ans:
(i) Phenol (C6H5OH) has the polar group −OH and non-polar group −C6H5. Thus, phenol is partially soluble in water.
(ii) Toluene (C6H5−CH3) has no polar groups. Thus, toluene is insoluble in water.
(iii) Formic acid (HCOOH) has the polar group −OH and can form H-bond with water. Thus, formic acid is highly soluble in water.
(iv) Ethylene glycol
has
polar −OH group and can form H−bond. Thus, it is highly soluble in
water.
(v) Chloroform is insoluble in water.
(vi) Pentanol (C5H11OH) has polar −OH group, but it also contains a very bulky non-polar −C5H11 group. Thus, pentanol is partially soluble in water.
Q.26: If the density of some lake water is 1.25 g mL−1 and contains 92 g of Na+ ions per kg of water, calculate the molality of Na+ ions in the lake.
Ans:
Number of moles present in 92 g of
Na+ ions =
= 4 mol
Therefore, molality of Na+ ions
in the lake 
= 4 m
Q.27: If the solubility product of CuS is 6 × 10−16, calculate the maximum molarity of CuS in aqueous solution.
Ans:
Solubility product of CuS, Ksp = 6 × 10−16
Let s be the solubility of CuS in mol L−1.

Now, 
= s × s
= s2
Then, we have, Ksp = 

= 2.45 × 10−8 mol L−1
Hence, the maximum molarity of CuS in an aqueous solution is 2.45 × 10−8 mol L−1.
Q.28: Calculate the mass percentage of aspirin (C9H8O4) in acetonitrile (CH3CN) when 6.5 g of C9H8O4 is dissolved in 450 g of CH3CN.
Ans:
6.5 g of C9H8O4 is dissolved in 450 g of CH3CN.
Then, total mass of the solution = (6.5 + 450) g
= 456.5 g
Therefore, mass percentage ofC9H8O4 
= 1.424%
Q.29: Nalorphene (C19H21NO3), similar to morphine, is used to combat withdrawal symptoms in narcotic users. Dose of nalorphene generally given is 1.5 mg. Calculate the mass of 1.5 × 10−3m aqueous solution required for the above dose.
Ans:
The molar mass of nalorphene
is
given as:

In 1.5 × 10−3m aqueous solution of nalorphene,
1 kg (1000 g) of water
contains 1.5 × 10−3 mol
= 0.4665 g
Therefore, total mass of the
solution 
= 1000.4665 g
This implies that the mass of the solution containing 0.4665 g of nalorphene is 1000.4665 g.
Therefore, mass of the solution containing 1.5 mg of nalorphene is:

Hence, the mass of aqueous solution required is 3.22 g.
Note: There is a slight variation in this answer and the one given in the NCERT textbook.
Q.30: Calculate the amount of benzoic acid (C6H5COOH) required for preparing 250 mL of 0.15 M solution in methanol.
Ans:
0.15 M solution of benzoic acid in methanol means,
1000 mL of solution contains 0.15 mol of benzoic acid
Therefore, 250 mL of solution
contains =
mol
of benzoic acid
= 0.0375 mol of benzoic acid
Molar mass of benzoic acid (C6H5COOH) = 7 × 12 + 6 × 1 + 2 × 16
= 122 g mol−1
Hence, required benzoic acid = 0.0375 mol × 122 g mol−1
= 4.575 g
Q.31: The depression in freezing point of water observed for the same amount of acetic acid, trichloroacetic acid and trifluoroacetic acid increases in the order given above. Explain briefly.
Ans:

Among H, Cl, and F, H is least electronegative while F is most electronegative. Then, F can withdraw electrons towards itself more than Cl and H. Thus, trifluoroacetic acid can easily lose H+ ions i.e., trifluoroacetic acid ionizes to the largest extent. Now, the more ions produced, the greater is the depression of the freezing point. Hence, the depression in the freezing point increases in the order:
Acetic acid < trichloroacetic acid < trifluoroacetic acid
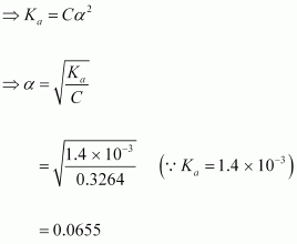
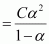
Q.32: Calculate the depression in the freezing point of water when 10 g of CH3CH2CHClCOOH is added to 250 g of water. Ka = 1.4 × 10−3, Kf = 1.86 K kg mol−1.
Ans:
Molar mass of 


∴
No. of moles present in 10 g of 

It is given that 10 g of
is
added to 250 g of water.
∴
Molality of the solution, 

Let α be the
degree of dissociation of 
undergoes dissociation according to the following equation:



Since α is very small with respect to 1, 1 − α ≈ 1
Now, 

Again,

Total moles of equilibrium = 1 − α + α + α
= 1 + α


Hence, the depression in the freezing point of water is given as:


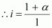
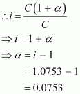
Q.33: 19.5 g of CH2FCOOH is dissolved in 500 g of water. The depression in the freezing point of water observed is 1.0°C. Calculate the van’t Hoff factor and dissociation constant of fluoroacetic acid.
Ans:
It is given that:

We know that:

Therefore, observed molar mass
of 
The calculated molar mass of
is:

Therefore, van’t Hoff
factor, 

Let α be the degree
of dissociation of 


Now, the value of Ka is given as:


Taking the volume of the solution as 500 mL, we have the concentration:

Therefore, 

Q.34: Vapour pressure of water at 293 Kis 17.535 mm Hg. Calculate the vapour pressure of water at 293 Kwhen 25 g of glucose is dissolved in 450 g of water.
Ans:
Vapour pressure of
water,
=
17.535 mm of Hg
Mass of glucose, w2 = 25 g
Mass of water, w1 = 450 g
We know that,
Molar mass of glucose (C6H12O6), M2 = 6 × 12 + 12 × 1 + 6 × 16
= 180 g mol−1
Molar mass of water, M1 = 18 g mol−1
Then, number of moles of
glucose, 
= 0.139 mol
And, number of moles of
water, 
= 25 mol
We know that,

⇒ 17.535 − p1 = 0.097
⇒ p1 = 17.44 mm of Hg
Hence, the vapour pressure of water is 17.44 mm of Hg.
Q.35: Henry’s law constant for the molality of methane in benzene at 298 Kis 4.27 × 105 mm Hg. Calculate the solubility of methane in benzene at 298 Kunder 760 mm Hg.
Ans:
Here,
p = 760 mm Hg
kH = 4.27 × 105 mm Hg
According to Henry’s law,
p = kHx

= 177.99 × 10−5
= 178 × 10−5 (approximately)
Hence, the mole fraction of methane in benzene is 178 × 10−5.
Q.36: 100 g of liquid A (molar mass 140 g mol−1) was dissolved in 1000 g of liquid B (molar mass 180 g mol−1). The vapour pressure of pure liquid B was found to be 500 torr. Calculate the vapour pressure of pure liquid A and its vapour pressure in the solution if the total vapour pressure of the solution is 475 Torr.
Ans:
Number of moles of liquid A, 
= 0.714 mol
Number of moles of liquid B, 
= 5.556 mol
Then, mole fraction of A, 

= 0.114
And, mole fraction of B, xB = 1 − 0.114
= 0.886
Vapour pressure of pure liquid
B,
=
500 torr
Therefore, vapour pressure of liquid B in the solution,

= 500 × 0.886
= 443 torr
Total vapour pressure of the solution, ptotal = 475 torr
Vapour pressure of liquid A in the solution,
pA = ptotal − pB
= 475 − 443
= 32 torr
Now,


= 280.7 torr
Hence, the vapour pressure of pure liquid A is 280.7 torr.
Q.37: Vapour pressure of pure acetone and chloroform at 328 K are 741.8 mm Hg and 632.8 mm Hg respectively. Assuming that they form ideal solution over the entire range of composition, plot ptotal’ pchloroform’ and pacetone as a function of xacetone. The experimental data observed for different compositions of mixture is.
|
100 × xacetone |
0 |
11.8 |
23.4 |
36.0 |
50.8 |
58.2 |
64.5 |
72.1 |
|
pacetone /mm Hg |
0 |
54.9 |
110.1 |
202.4 |
322.7 |
405.9 |
454.1 |
521.1 |
|
pchloroform/mm Hg |
632.8 |
548.1 |
469.4 |
359.7 |
257.7 |
193.6 |
161.2 |
120.7 |
Ans:
From the question, we have the following data
|
100 × xacetone |
0 |
11.8 |
23.4 |
36.0 |
50.8 |
58.2 |
64.5 |
72.1 |
|
pacetone /mm Hg |
0 |
54.9 |
110.1 |
202.4 |
322.7 |
405.9 |
454.1 |
521.1 |
|
pchloroform/mm Hg |
632.8 |
548.1 |
469.4 |
359.7 |
257.7 |
193.6 |
161.2 |
120.7 |
|
ptota(mm Hg) |
632.8 |
603.0 |
579.5 |
562.1 |
580.4 |
599.5 |
615.3 |
641.8 |

It can be observed from the graph that the plot for the ptotal of the solution curves downwards. Therefore, the solution shows negative deviation from the ideal behaviour.
Q.38: Benzene and toluene form ideal solution over the entire range of composition. The vapour pressure of pure benzene and toluene at 300 K are 50.71 mm Hg and 32.06 mm Hg respectively. Calculate the mole fraction of benzene in vapour phase if 80 g of benzene is mixed with 100 g of toluene.
Ans:
Molar mass of benzene 
= 78 g mol−1
Molar mass of toluene 
= 92 g mol−1
Now, no. of moles present in 80 g
of benzene 

And, no. of moles present in 100 g
of toluene 

∴
Mole fraction of benzene, xb 
And, mole fraction of
toluene, 
It is given that vapour pressure
of pure benzene, 
And, vapour pressure of pure
toluene, 
Therefore, partial vapour pressure
of benzene,
= 0.486 × 50.71
= 24.645 mm Hg
And, partial vapour pressure of
toluene,
= 0.514 × 32.06
= 16.479 mm Hg
Hence, mole fraction of benzene in vapour phase is given by:


Q.39: The air is a mixture of a number of gases. The major components are oxygen and nitrogen with approximate proportion of 20% is to 79% by volume at 298 K. The water is in equilibrium with air at a pressure of 10 atm. At 298 K, if the Henry’s law constants for oxygen and nitrogen are 3.30 × 107 mm and 6.51 × 107 mm respectively, calculate the composition of these gases in water.
Ans:
Percentage of oxygen (O2) in air = 20 %
Percentage of nitrogen (N2) in air = 79%
Also, it is given that water is in equilibrium with air at a total pressure of 10 atm, that is, (10 × 760) mm Hg = 7600 mm Hg
Therefore,
Partial pressure of oxygen, 
= 1520 mm Hg
Partial pressure of
nitrogen, 
= 6004 mmHg
Now, according to Henry’s law:
p = KH.x
For oxygen:

For nitrogen:

Hence, the mole fractions of oxygen and nitrogen in water are 4.61 ×10−5and 9.22 × 10−5 respectively.
Q.40: Determine the amount of CaCl2 (i = 2.47) dissolved in 2.5 litre of water such that its osmotic pressure is 0.75 atm at 27°C.
Ans:
We know that,


Here,
R = 0.0821 L atm K-1mol-1
M = 1 × 40 + 2 × 35.5
= 111g mol-1
Therefore, w 
= 3.42 g
Hence, the required amount of CaCl2 is 3.42 g.
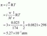
Q.41: Determine the osmotic pressure of a solution prepared by dissolving 25 mg of K2SO4 in 2 litres of water at 25° C, assuming that it is completely dissociated.
Ans:
When K2SO4 is
dissolved in water,
ions
are produced.

Total number of ions produced = 3
i =
3
Given,
w = 25 mg = 0.025 g
V = 2 L
T = 250C = (25 + 273) K = 298 K
Also, we know that:
R = 0.0821 L atm K-1mol-1
M = (2 × 39) + (1 × 32) + (4 × 16) = 174 g mol-1
Appling the following relation,

Online Tuitions & Self-Study Courses for Grade 6 to 12 & JEE / NEET
