Chapter 1 – Solid State
Study Notes
Amorphous and Crystalline Solids
· Based on the nature of the order of arrangement of the constituent particles, solids are classified as amorphous and crystalline.
Anisotropy
Crystalline solids are anisotropic in nature, that is, some of their physical properties like electrical resistance or refractive index show different values when measured along different directions in the same crystals. This arises from different arrangement of particles in different directions.

Differences between amorphous and crystalline solids are listed in the given table.
|
Amorphous solids |
Crystalline solids |
|
Have irregular shape |
Have definite characteristic geometrical shape |
|
Have only short-range order in the arrangement of constituent particles |
Have long-range order in the arrangement of constituent particles |
|
Gradually soften over a range of temperature |
Have sharp and characteristic melting point |
|
When cut with a sharp-edged tool, they cut into two pieces with irregular shapes |
When cut with a sharp-edged tool, they split into two pieces with plain and smooth newly generated surfaces. |
|
Do not have definite heat of fusion |
Have definite and characteristic heat of fusion |
|
Isotropic in nature |
Anisotropic in nature |
|
Pseudo solids or super-cooled liquids |
True solids |

Classification of Crystalline Solids
Based on the nature of intermolecular forces, crystalline solids are classified into four categories
· Molecular solids
· Ionic solids
· Metallic solids
· Covalent solids
- Molecular solids
Constituent particles are molecules
Low melting and boiling points
They have generally low density, hence, are generally soft.
Their melting points are low to moderately high. The melting points of solids with non – polar molecules are relatively low whereas solids with polar molecules have moderately high melting points.
They are generally bad conductors of heat and electricity.

- Ionic solids
Constituent particles are ions
Hard but brittle
Insulators of electricity in solid state, but conductors in molten and
aqueous state
High melting point
Attractive forces are Coulombic or electrostatic
Example − NaCl, MgO, ZnS

- Metallic solids
In metallic solids, positive ions are surrounded and are held together
in a sea of delocalised electrons.
Hard but malleable and ductile
Conductors of electricity in solid state as well as molten state
Fairly high melting point
Particles are held by metallic bonding
Example − Fe, Cu, Mg

- Covalent or network solids
Constituent particles are atoms
Hard (except graphite, which is soft)
Insulators of electricity (except graphite, which is a conductor of electricity)
Very high melting point and can decompose before melting
Particles are held by covalent bonding
Example − SiO2 (quartz), SiC, diamond, graphite

Isomorphism:
The property by virtue of which two or more crystalline solids having similar chemical composition exist in the same crystalline form is called isomorphism. For example: Na3PO4.
The property by virtue of which a particular substance exists in more than one crystalline form is called polymorphism. For example: existence of calcium carbonate in two crystalline forms called calcite and aragonite.
Crystal Lattice
- Regular three-dimensional arrangement of points in space

There are 14 possible three-dimensional lattices, known as Bravais lattices.
Characteristics of a crystal lattice:
· Each point in a lattice is called lattice point or lattice site.
· Each lattice point represents one constituent particle (atom, molecule or ion).
· Lattice points are joined by straight lines to bring out the geometry of the lattice.
Unit Cell
Smallest portion of a crystal lattice which, when repeated in different directions, generates the entire lattice
Unit Cell is characterised by
(i) Its dimensions along the three edges a, b and c
(ii) Angles between the edges α, β and γ

The unit cells can be classified as follows:

Seven Crystal Systems
There are seven types of primitive unit cells, as given in the following table.

The given table lists seven primitive unit cells and their possible variations as centered unit cells.
|
Crystal Class |
Axial Distances |
Axial Angles |
Possible Types of Unit Cells |
Examples |
|
1. Cubic |
a = b = c |
α = β = γ = 90° |
Primitive, body-centred, face-centred |
KCl, NaCl |
|
2. Tetragonal |
a = b ≠ c |
α = β = γ = 90° |
Primitive, body-centred |
SnO2, TiO2 |
|
3. Orthorhombic |
a ≠ b ≠ c |
α = β = γ = 90° |
Primitive, body-centred, face-centred, end-centred |
KNO3, BaSO4 |
|
4. Hexagonal |
a = b ≠ c |
α = β = 90°; γ = 120° |
Primitive |
Mg, ZnO |
|
5. Trigonal or Rhombohedral |
a = b = c |
α = β = γ ≠ 90° |
Primitive |
(CaCO3) Calcite, HgS (Cinnabar) |
|
6. Monoclinic |
a ≠ b ≠ c |
α = γ = 90°; β ≠ 90° |
Primitive and end-centred |
Monoclinic sulphur, Na2SO4.10H2O |
|
7. Triclinic |
a ≠ b ≠ c |
α ≠ β ≠ γ ≠ 90° |
Primitive |
K2Cr2O7, H3BO3 |
Unit cells of 14 types (Bravais lattices):
Cubic lattices: All sides are of the same length, and the angles between
the faces are 90° each

- Tetragonal lattices: One side is different in length from the other two, and the angles between the faces are 90° each

- Orthorhombic lattices: Unequal sides; angles between the faces are 90° each

- Monoclinic lattices: Unequal sides; two faces have angles not equal to 90°

- Hexagonal lattice: One side is different in length from the other two, and the marked angles on two faces are 60°
- Rhombohedral lattice: All sides are of equal length, and the marked angles on two faces are less than 90°
- Triclinic lattice: Unequal sides; unequal angles, with none equal to 90°

Number of atoms in a unit cell
The number of atoms in a unit cell can be calculated, by using the following approximations.
An atom at the corner is shared by 8 unit cells. Hence, an atom at the corner contributes 1/8 to the unit cell.
An atom at the face is shared by 2 unit cells. Hence, an atom at the face contributes 1/2 to the unit cell.
An atom within the body of a unit cell is shared by no other unit cell. Hence, an atom at the body contributes singly, i.e., 1 to the unit cell.
Primitive Cubic Unit Cell
Open structure for a primitive cubic unit cell is shown in the given figure.

Actual portions belonging to one unit cell are shown in the given figure.

Total number of atoms in one unit cell

Body-Centred Cubic Unit Cell
Open structure for a body-centred cubic unit cell is shown in the given figure.

Actual portions belonging to one unit cell are shown in the given figure.

Total number of atoms in one unit cell
= 8 corners
per corner atom + 1 body-centre atom

Face-Centred Cubic Unit Cell
Open structure for a face-centred cubic unit cell is shown in given figure.

Actual portions of atoms belonging to one unit cell are shown in the given figure.

Total number of atoms in one unit cell
= 8 corner atoms
atom per unit cell + 6 face-centred atoms
atom per unit cell

Coordination number
The number of nearest neighbours of an atom
Close-Packing in One dimension
Only one way of arrangement, i.e., the particles are arranged in a row, touching each other

Coordination number = 2
Close-Packing in Two Dimensions
- Square close-packing in two dimensions
AAA type arrangement

The particles in the second row are exactly above those in the first row.
Coordination number = 4
- Hexagonal close-packing in two dimensions
ABAB type arrangement

The particles in the second row are fitted in the depressions of the first row. The particles in the third row are aligned with those in the first row.
More efficient packing than square close-packing
Coordination number = 6
Close-Packing in Three Dimensions
Three-dimensional close-packing is obtained by stacking two-dimensional layers (square close-packed or hexagonal close-packed) one above the other.
By stacking two-dimensional square close-packed layers
The particles in the second layer are exactly above those in the first layer.
AAA type pattern
The lattice generated is simple cubic lattice, and its unit cell is primitive cubic unit cell.

Coordination number = 6
By stacking two-dimensional hexagonal close-packed layers
Placing the second layer over the first layer
The two layers are differently aligned.
Tetrahedral void is formed when a particle in the second layer is above a void of the first layer.
Octahedral void is formed when a void of the second layer is above the void of the first layer.

Here, T = Tetrahedral void, O = Octahedral void
Number of octahedral voids = Number of close-packed particles
Number of tetrahedral voids = 2 × Number of close-packed particles
Placing the third layer over the second layer:
There are two ways:
Covering tetrahedral voids: ABAB … pattern:
The particles in the third layer are exactly aligned with those in the first layer. It results in a hexagonal close-packed (hcp) structure. Example: Arrangement of atoms in metals like Mg and Zn.

Covering octahedral voids: ABCABC … pattern:
The particles in the third layer are not aligned either with those in the first layer or with those in the second layer, but with those in the fourth layer aligned with those in the first layer. This arrangement is called ‘C’ type. It results in cubic close-packed (ccp) or face-centred cubic (fcc) structure. Example: Arrangement of atoms in metals like Cu and Ag

Coordination number in both hcp ad ccp structures is 12.
Both hcp and ccp structures are highly efficient in packing (packing efficiency = 74%)
Relationship between Closed-pack Particles and Voids
· Number of octahedral voids = Number of close-packed particles
· Number of tetrahedral voids = 2 × Number of close-packed particles
· In ionic solids, the bigger ions (usually anions) form the close-packed structure and the smaller ions (usually cations) occupy the voids.
· If the latter ion is small enough, then it occupies the tetrahedral void, and if bigger, then it occupies the octahedral void.
· Not all the voids are occupied. Only a fraction of the octahedral or tetrahedral voids are occupied.
· The fraction of the octahedral or tetrahedral voids that are occupied depends on the chemical formula of the compound.
Locating Tetrahedral Voids
- A unit cell of ccp or fcc lattice is divided into eight small cubes. Then, each small cube has 4 atoms at alternate corners. When these are joined to each other, a regular tetrahedron is formed.

· This implies that one tetrahedral void is present in each small cube. Therefore, a total of eight tetrahedral voids are present in one unit cell.
- Since each unit cell of ccp structure has 4 atoms, the number of tetrahedral voids is twice the number of atoms.
Locating Octahedral Voids
- When the six atoms of the face centres are joined, an octahedron is generated. This implies that the unit cell has one octahedral void at the body centre.

- Besides the body centre, there is one octahedral void at the centre
of each of the 12 edges. But only
th of each of these voids belongs to the unit cell.

- The total number of octahedral voids in a cubic loose-packed structure

This means that in ccp structure, the number of octahedral voids is equal to the number of atoms in each unit cell.
In NaCl, the Na+ ions occupy all the octahedral voids. In ZnS, Zn2+ are in alternate tetrahedral voids. In CaF2, F- ions occupy all the tetrahedral voids.
In Fe3O4, if Fe2+ ions are replaced by divalent cations such as Mg2+ and Zn2+, then the compounds obtained are called ferrites.
Packing Efficiency
Percentage of total space filled by particles.
Calculations of Packing Efficiency in Different Types of Structures
- Simple cubic lattice
In a simple cubic lattice, the particles are located only at the corners of the cube and touch each other along the edge.

Let the edge length of the cube be ‘a’ and the radius of each particle be r.
Then, we can write:
a = 2r
Now, volume of the cubic unit cell = a3
= (2r)3
= 8r3
The number of particles present per simple cubic unit cell is 1.
Therefore, volume of the occupied unit cell

Hence, packing efficiency


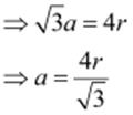
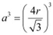
· Body-centred cubic structures

It can be observed from the above figure that the atom at the centre is in contact with the other two atoms diagonally arranged.
From ΔFED, we have

From ΔAFD, we have

Let the radius of the atom be r.
Length of the body diagonal, c = 4r


Volume of the cube,

A body-centred cubic lattice contains 2 atoms.



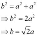
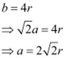
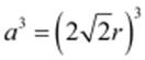
· hcp and ccp Structures
Let the edge length of the unit cell be ‘a’ and the length of the face diagonal AC be b.

From ΔABC, we have

Let r be the radius of the atom.
Now, from the figure, it can be observed that:

Now, volume of the
cube, 
We know that the number of atoms per unit cell is 4.

Thus, ccp and hcp structures have maximum packing efficiency.
Calculations Involving Unit Cell Dimensions
In a cubic crystal, let
a = Edge length of the unit cell
d = Density of the solid substance
M = Molar mass of the substance
Then, volume of the unit cell = a3
Again, let
z = Number of atoms present in one unit cell
m = Mass of each atom
Now,
mass of the unit cell
= Number of atoms in the unit cell × Mass of each atom
= z × m
But, mass of an atom,
m = 
Therefore, density of the unit cell,

Imperfections in Solids
Defects
- Irregularities or deviations from the ideal arrangement of constituent particles
- Two types:
- Point defects − Irregularities in the arrangement of constituent particles around a point or an atom in a crystalline substance.
- Line defects − Irregularities in the arrangement of constituent particles in entire rows of lattice points.
- These irregularities are called crystal defects.
Types of Point Defects
- Three types:
- Stoichiometric defects
- Impurity defect
- Non-stoichiometric defects
Stoichiometric Defects
- Do not disturb stoichiometry of the solid
- Also called intrinsic or thermodynamic defects
- Two types − (i) Vacancy defect
(ii) Interstitial defect
Vacancy defect
· When some of the lattice sites are vacant
· Shown by non-ionic solids
· Created when a substance is heated
· Results in the decrease in density of the substance

Interstitial defect
· Shown by non-ionic solids
· Created when some constituent particles (atoms or molecules) occupy an interstitial site of the crystal.

Ionic solids show these two defects as Frenkel defect and Schottky defect.
Frenkel defect
· Shown by ionic solids containing large differences in the sizes of ions
· Created when the smaller ion (usually cation) is dislocated from its normal site to an interstitial site
· Creates a vacancy defect as well as an interstitial defect
· Also known as dislocation defect
· Ionic solids such as AgCl, AgBr, AgI and ZnS show this type of defect.


Schottky defect
· Basically, a vacancy defect shown by ionic solids
· An equal number of cations and anions are missing to maintain electrical neutrality
· Results in the decrease in the density of the substance
· Significant number of Schottky defect is present in ionic solids. For example, in NaCl, there are approximately 106 Schottky pairs per cm3, at room temperature.
· Shown by ionic substances containing similar-sized cations and anions; for example, NaCl, KCl CsCl, AgBr


Impurity Defect
- Point defect due to the presence of foreign atoms
- For example, if molten NaCl containing a little amount of SrCl2 is crystallised, some of the sites of Na+ ions are occupied by Sr2+ ions. Each Sr2+ ion replaces two Na+ ions, occupying the site of one ion, leaving the other site vacant. The cationic vacancies thus produced are equal in number to those of Sr2+ ions.

- Solid solution of CdCl2 and AgCl also shows this defect
Non-Stoichiometric Defects
- Result in non-stoichiometric ratio of the constituent elements
- Two types −
Metal excess defect
Metal deficiency defect
Metal excess defect
Metal excess defect due to anionic vacancies:
· Alkali metals like NaCl and KCl show this type of defect.
· When crystals of NaCl are heated in an atmosphere of sodium vapour, the sodium atoms are deposited on the surface of the crystal. The Cl− ions diffuse from the crystal to its surface and combine with Na atoms, forming NaCl. During this process, the Na atoms on the surface of the crystal lose electrons. These released electrons diffuse into the crystal and occupy the vacant anionic sites, creating F-centres.
· When the ionic sites of a crystal are occupied by unpaired electrons, the ionic sites are called F-centres.


· Metal excess defect due to the presence of extra cations at interstitial sites:
· When white zinc oxide is heated, it loses oxygen and turns yellow.

Then, zinc becomes
excess in the crystal, leading the formula of the oxide to
.
The excess Zn2+ ions move to the interstitial sites, and the electrons
move to the neighbouring interstitial sites.

Metal deficiency defect
· Arises when a solid contains lesser number of cations compared to the stoichiometric proportion.
·
For example, FeO is mostly found with a composition
of
.
In crystals of FeO, some Fe2+ ions are missing, and the loss of positive
charge is made up by the presence of the required number of Fe3+ ions.
Electrical Properties of Solids

Conduction of Electricity in Metals
- Metals conduct electricity in molten state.
- The conductivity of metals depends upon the number of valence electrons.
- In metals, the valence shell is partially filled, so this valence band overlaps with a higher energy unoccupied conduction band so that electrons can flow easily under an applied electric field.
- In the case of insulators, the gap between filled valence shell and the next higher unoccupied band is large so that electrons cannot jump from the valence band to the conduction band.
Conduction of Electricity in Semiconductors
- The gap between the valence band and conduction band is so small that some electrons may jump to the conduction band.

- Electrical conductivity of semiconductors increases with increase in temperature.
- Substances like Si, Ge show this type of behaviour, and are called intrinsic semiconductors.
- Doping − Process of adding an appropriate amount of suitable impurity to increase conductivity
- Doping is done with either electron-rich or electron-deficient impurity as compared to the intrinsic semiconductor Si or Ge.
- There are two types of semiconductors:
i. n − type semiconductor
ii. p − type semiconductor
- n − type semiconductor
- Conductivity increases due to negatively charged electrons
- Generated due to the doping of the crystal of a group 14 element such as Si or Ge, with a group 15 element such as P or As

- p − type semiconductor
- Conductivity increases as a result of electron hole
- Generated due to the doping of the crystal of a group 14 element such as Si or Ge, with a group 13 element such as B, Al or Ga

- Applications of n − type and p − type semiconductors
- In making a diode, which is used as a rectifier
- In making transistors, which are used for detecting or amplifying radio or audio signals
- In making a solar cell, which is a photo diode used for converting light energy into electrical energy
- A large number of compounds (solid) have been prepared by the combination of groups 13 and 15 or 12 and 16 to stimulate average valence of four as in Si or Ge.
- Examples of compounds of groups 13 − 15 are InSb, AlP, GaAs
- Examples of compounds of groups 12 − 16 are ZnS, CdS, CdSe, HgTe
- Some transition metal oxides like TiO, CrO2, ReO3 behave like metals.
- For example, ReO3 resembles metallic copper in its conductivity and appearance
- Some oxides like VO, VO2, VO3, TiO3 show metallic or insulating properties depending on temperature.
Example: What is semiconductor? Describe the two main types of semiconductors and explain mechanisms for their conduction.
Answer: Solids having intermediate conductivities (from 10−6 to 104 Ω−1 m−1) are called semiconductors. Germanium and silicon are two examples of semi-conductors. These substances act as insulators at low temperatures and as conductors at high temperatures. There are two types of semiconductors:
i. n-type semiconductor:
When the crystal of a semiconductor is doped with group-15 elements (P, As, Sb or Bi), only four of the five valence electrons of the doped atoms participate in forming covalent bonds with the atoms of the semiconductors. The fifth electron is free to conduct electricity. As these crystals contain extra electrons, these are known as n-type semiconductors.
ii. p-type semiconductor:
When the crystal of a semiconductor is doped with group-13 elements (Al, Ga or In), only three covalent bonds are formed by the atoms of the doped atoms as they contain three valence electrons. A hole is created at the place where the electron is absent. The presence of such holes increases the conductivity of the semiconductor as the neighbouring electrons can move into these holes, thereby creating newer holes. As these crystals contain lesser electrons than un-doped crystals, they are known as p-type semiconductors.
Magnetic Properties of Solids
- Each electron in an atom behaves like a tiny magnet.
- The magnetic moment of an electron originates from its two types of motion.
- Orbital motion around the nucleus
- Spin around its own axis
- Thus, an electron has a permanent spin and an orbital magnetic moment associated with it.
- An orbiting electron
- A spinning electron

Based on magnetic properties, substances are classified into five categories −
Paramagnetic, Diamagnetic, Ferromagnetic, Ferrimagnetic, Anti-ferromagnetic
Paramagnetism
- The substances that are attracted by a magnetic field are called paramagnetic substances.
- Some examples of paramagnetic substances are O2, Cu2+, Fe3+ and Cr3+.
- Paramagnetic substances get magnetised in a magnetic field in the same direction, but lose magnetism when the magnetic field is removed.
- To undergo paramagnetism, a substance must have one or more unpaired electrons. This is because the unpaired electrons are attracted by a magnetic field, thereby causing paramagnetism.
Diamagnetism
- The substances which are weakly repelled by magnetic field are said to have diamagnetism.
- Example − H2O, NaCl, C6H6
- Diamagnetic substances are weakly magnetised in a magnetic field in opposite direction.
- In diamagnetic substances, all the electrons are paired.
- Magnetic characters of these substances are lost due to the cancellation of moments by the pairing of electrons.
Ferromagnetism
- The substances that are strongly attracted by a magnetic field are called ferromagnetic substances.
- Ferromagnetic substances can be permanently magnetised even in the absence of a magnetic field.
- Some examples of ferromagnetic substances are iron, cobalt, nickel, gadolinium and CrO2.
- In solid state, the metal ions of ferromagnetic substances are grouped together into small regions called domains, and each domain acts as a tiny magnet. In an un-magnetised piece of a ferromagnetic substance, the domains are randomly oriented, so their magnetic moments get cancelled. However, when the substance is placed in a magnetic field, all the domains get oriented in the direction of the magnetic field. As a result, a strong magnetic effect is produced. This ordering of domains persists even after the removal of the magnetic field. Thus, the ferromagnetic substance becomes a permanent magnet.
- Schematic alignment of magnetic moments in ferromagnetic substances is as follows:

Ferrimagnetism
- The substances in which the magnetic moments of the domains are aligned in parallel and anti-parallel directions, in unequal numbers, are said to have ferrimagnetism.
- Examples include Fe3O4 (magnetite), ferrites such as MgFe2O4 and ZnFe2O4.
- Ferrimagnetic substances are weakly attracted by a magnetic field as compared to ferromagnetic substances.
- On heating, these substances become paramagnetic.
- Schematic alignment of magnetic moments in ferrimagnetic substances is as follows:

Anti-ferromagnetism
- Antiferromagnetic substances have domain structures similar to ferromagnetic substances, but are oppositely oriented.
- The oppositely oriented domains cancel out each other’s magnetic moments.
- Schematic alignment of magnetic moments in anti-ferromagnetic substances is as follows:

Piezoelectric effect:
The production of electricity due to the displacement of ions, on the application of mechanical stress, or the production of mechanical stress and/or strain due to atomic displacement, on the application of an electric field is known as piezoelectric effect. Piezoelectric materials are used in transducers − devices that convert electrical energy into mechanical stress/strain or vice-versa. Some piezoelectric materials are lead-zirconate (PbZrO3), ammonium dihydrogen phosphate (NH4H2PO4), quartz, etc.
Online Tuitions & Self-Study Courses for Grade 6 to 12 & JEE / NEET
