Grade 11 Chemistry
NCERT Solutions
Chapter 12 – Organic Chemistry : Some Basic Principles and Techniques
Q.1. What are hybridisation states of each carbon atom in the following compounds?
CH2=C=O, CH3CH=CH2, (CH3)2CO, CH2=CHCN, C6H6
Ans:
(i) 
C–1 is sp2 hybridised.
C–2 is sp hybridised.
(ii) 
C–1 is sp3 hybridised.
C–2 is sp2 hybridised.
C–3 is sp2 hybridised.
(iii)

C–1 and C–3 are sp3 hybridised.
C–2 is sp2 hybridised.
(iv) 
C–1 is sp2 hybridised.
C–2 is sp2 hybridised.
C–3 is sp hybridised.
(v) C6H6
All the 6 carbon atoms in benzene are sp2 hybridised.
Q.2. Indicate the σ and π bonds in the following molecules:
C6H6, C6H12, CH2Cl2, CH2 = C = CH2, CH3NO2, HCONHCH3
Ans:
(i) C6H6

There are six C–C sigma (
)
bonds, six C–H sigma (
)
bonds, and three C=C pi (
)
resonating bonds in the given compound.
(ii) C6H12

There are six C–C sigma (
)
bonds and twelve C–H sigma (
)
bonds in the given compound.
(iii) CH2Cl2

There two C–H sigma (
)
bonds and two C–Cl sigma (
)
bonds in the given compound.
(iv) CH2 = C = CH2

There are two C–C sigma (
)
bonds, four C–H sigma (
)
bonds, and two C=C pi (
)
bonds in the given compound.
(v) CH3NO2

There are three C–H sigma (
)
bonds, one C–N sigma (
)
bond, one N–O sigma (
)
bond, and one N=O pi (
)
bond in the given compound.
(vi) HCONHCH3

There are two C–N sigma (
)
bonds, four C–H sigma (
)
bonds, one N–H sigma bond, and one C=O pi (
)
bond in the given compound.
Q.3. Write bond line formulas for: Isopropyl alcohol, 2,3-Dimethyl butanal, Heptan-4-one.
Ans:
The bond line formulae of the given compounds are:
(a) Isopropyl alcohol

(b) 2, 3–dimethyl butanal

(c) Heptan–4–one

Q.4. Give the IUPAC names of the following compounds:
(a)

(b)

(c)

(d)

(e)

(f) Cl2CHCH2OH
Ans:
(a)

1–phenyl propane
(b)

3–methylpentanenitrile
(c)

2, 5–dimethyl heptane
(d)

3–bromo–3–chloroheptane
(e)

3–chloropropanal
(f) Cl2CHCH2OH
2,2- Dichloroethanol
Q.5. Which of the following represents the correct IUPAC name for the compounds concerned? (a) 2,2-Dimethylpentane or 2-Dimethylpentane (b) 2,4,7-Trimethyloctane or 2,5,7-Trimethyloctane (c) 2-Chloro-4-methylpentane or 4-Chloro-2-methylpentane (d) But-3-yn-1-ol or But-4-ol-1-yne
Ans:
(a) The prefix di in the IUPAC name indicates that two identical substituent groups are present in the parent chain. Since two methyl groups are present in the C–2 of the parent chain of the given compound, the correct IPUAC name of the given compound is 2, 2–dimethylpentane.
(b) Locant number 2, 4, 7 is lower than 2, 5, 7. Hence, the IUPAC name of the given compound is 2, 4, 7–trimethyloctane.
(c) If the substituents are present in the equivalent position of the parent chain, then the lower number is given to the one that comes first in the name according to the alphabetical order. Hence, the correct IUPAC name of the given compound is 2–chloro–4–methylpentane.
(d) Two functional groups – alcoholic and alkyne – are present in the given compound. The principal functional group is the alcoholic group. Hence, the parent chain will be suffixed with ol. The alkyne group is present in the C–3 of the parent chain. Hence, the correct IUPAC name of the given compound is But–3–yn–1–ol.
Q.6. Draw formulas for the first five members of each homologous series beginning with the following compounds.
(a) H–COOH
(b) CH3COCH3
(c) H–CH=CH2
Ans:
The first five members of each homologous series beginning with the given compounds are shown as follows:
(a)
H–COOH : Methanoic acid
CH3–COOH : Ethanoic acid
CH3–CH2–COOH : Propanoic acid
CH3–CH2–CH2–COOH : Butanoic acid
CH3–CH2–CH2–CH2–COOH : Pentanoic acid
(b)
CH3COCH3 : Propanone
CH3COCH2CH3 : Butanone
CH3COCH2CH2CH3 : Pentan-2-one
CH3COCH2CH2CH2CH3 : Hexan-2-one
CH3COCH2CH2CH2CH2CH3 : Heptan-2-one
(c)
H–CH=CH2 : Ethene
CH3–CH=CH2 : Propene
CH3–CH2–CH=CH2 : 1-Butene
CH3–CH2–CH2–CH=CH2 : 1-Pentene
CH3–CH2–CH2–CH2–CH=CH2 : 1-Hexene
Q.7. Give condensed and bond line structural formulas and identify the functional group(s) present, if any, for :
(a) 2,2,4-Trimethylpentane
(b) 2-Hydroxy-1,2,3-propanetricarboxylic acid
(c) Hexanedial
Ans:
(a) 2, 2, 4–trimethylpentane
Condensed formula:
(CH3)2CHCH2C (CH3)3
Bond line formula:

(b) 2–hydroxy–1, 2, 3–propanetricarboxylic acid
Condensed Formula:
(COOH)CH2C(OH) (COOH)CH2(COOH)
Bond line formula:

The functional groups present in the given compound are carboxylic acid (–COOH) and alcoholic (–OH) groups.
(c) Hexanedial
Condensed Formula:
(CHO) (CH2)4 (CHO)
Bond line Formula:

The functional group present in the given compound is aldehyde (–CHO).
Q.8. Identify the functional groups in the following compounds
(a)

(b)

(c)

Ans:
The functional groups present in the given compounds are:
(a) Aldehyde (–CHO),
Hydroxyl(–OH),
Methoxy (–OMe),
C=C double bond 
(b) Amino (–NH2); primary amine,
Ester (-O-CO-),
Triethylamine (N(C2H5)2); tertiary amine
(c) Nitro (–NO2),
C=C double bond 
Q.9. Which of the two: O2NCH2CH2O– or CH3CH2O– is expected to be more stable and why?
Ans:
NO2 group is an electron-withdrawing group. Hence, it shows –I effect. By withdrawing the electrons toward it, the NO2 group decreases the negative charge on the compound, thereby stabilising it. On the other hand, ethyl group is an electron-releasing group. Hence, the ethyl group shows +I effect. This increases the negative charge on the compound, thereby destabilising it. Hence, O2NCH2CH2O– is expected to be more stable than CH3CH2O–.
Q.10. Explain why alkyl groups act as electron donors when attached to a π system.
Ans:
When an alkyl group is attached to a π system, it acts as an electron-donor group by the process of hyperconjugation. To understand this concept better, let us take the example of propene.

In hyperconjugation, the sigma electrons of the C–H bond of an alkyl group are delocalised. This group is directly attached to an atom of an unsaturated system. The delocalisation occurs because of a partial overlap of a sp3 –s sigma bond orbital with an empty p orbital of the π bond of an adjacent carbon atom.
The process of hyperconjugation in propene is shown as follows:

This type of overlap leads to a delocalisation (also known as no-bond resonance) of the π electrons, making the molecule more stable.

Q.11. Draw the resonance structures for the following compounds. Show the electron shift using curved-arrow notation.
(a) C6H5OH
(b) C6H5NO2
(c) CH3CH = CH – CHO
(d) C6H5CHO
(e)
(f) 
Ans:
(a) The structure of C6H5OH is:

The resonating structures of phenol are represented as:

(b) The structure of C6H5NO2 is:

The resonating structures of nitro benzene are represented as:

(c) CH3CH = CH – CHO
The resonating structures of the given compound are represented as:

(d) The structure of C6H5CHO is:

The resonating structures of benzaldehyde are represented as:

(e) C6H5CH2⊕
The resonating structures of the given compound are:

(f) CH3 CH = CH CH2⊕
The resonating structures of the given compound are:

Q.12. What are electrophiles and nucleophiles? Explain with examples.
Ans:
An electrophile is a reagent that takes away an electron pair. In other words, an electron-seeking reagent is called an electrophile (E+). Electrophiles are electron-deficient and can receive an electron pair.
Carbocations
and
neutral molecules having functional groups such as carbonyl group (
)
are examples of electrophiles.
A nucleophile is a reagent that brings an electron pair. In other words, a nucleus-seeking reagent is called a nucleophile (Nu:).
For example: OH–, NC–, carbanions (R3C–), etc.
Neutral molecules such as H2Ö and ammonia also act as nucleophiles because of the presence of a lone pair.
Q.13. Identify the reagents shown in bold in the following equations as nucleophiles or electrophiles:



Ans:
Electrophiles are electron-deficient species and can receive an electron pair. On the other hand, nucleophiles are electron-rich species and can donate their electrons.

Here, HO– acts as a nucleophile as it is an electron-rich species, i.e., it is a nucleus-seeking species.

Here, –CN acts as a nucleophile as it is an electron-rich species, i.e., it is a nucleus-seeking species.

Here,
acts
as an electrophile as it is an electron-deficient species.
Q.14. Classify the following reactions in one of the reaction types studied in this unit.
(a) CH3CH2Br + HS– → CH3CH2SH + Br–
(b) (CH3)2 C = CH2 + HCl → (CH3)2 ClC–CH3
(c) CH3CH2Br + HO– → CH2 = CH2 + H2O + Br–
(d) (CH3)3 C – CH2 OH + HBr → (CH3)2 CBrCH2CH3 + H2O
Ans:
(a) It is an example of substitution reaction as in this reaction the bromine group in bromoethane is substituted by the –SH group.
(b) It is an example of addition reaction as in this reaction two reactant molecules combine to form a single product.
(c) It is an example of elimination reaction as in this reaction hydrogen and bromine are removed from bromoethane to give ethene.
(d) In this reaction, substitution takes place, followed by a rearrangement of atoms and groups of atoms.
Q.15. What is the relationship between the members of following pairs of structures? Are they structural or geometrical isomers or resonance contributors?
(a)

(b)

(c)

Ans:
(a) Compounds having the same molecular formula but with different structures are called structural isomers. The given compounds have the same molecular formula but they differ in the position of the functional group (ketone group).

In structure I, ketone group is at the C-3 of the parent chain (hexane chain) and in structure II, ketone group is at the C-2 of the parent chain (hexane chain). Hence, the given pair represents structural isomers.
(b) Compounds having the same molecular formula, the same constitution, and the sequence of covalent bonds, but with different relative position of their atoms in space are called geometrical isomers.

In structures I and II, the relative position of Deuterium (D) and hydrogen (H) in space are different. Hence, the given pairs represent geometrical isomers.
(c) The given structures are canonical structures or contributing structures. They are hypothetical and individually do not represent any real molecule. Hence, the given pair represents resonance structures, called resonance isomers.

Q.16. For the following bond cleavages, use curved-arrows to show the electron flow and classify each as homolysis or heterolysis. Identify reactive intermediate produced as free radical, carbocation and carbanion.
(a)

(b)

(c)

(d)

Ans:
(a) The bond cleavage using curved-arrows to show the electron flow of the given reaction can be represented as

It is an example of homolytic cleavage as one of the shared pair in a covalent bond goes with the bonded atom. The reaction intermediate formed is a free radical.
(b) The bond cleavage using curved-arrows to show the electron flow of the given reaction can be represented as

It is an example of heterolytic cleavage as the bond breaks in such a manner that the shared pair of electrons remains with the carbon of propanone. The reaction intermediate formed is carbanion.
(c) The bond cleavage using curved-arrows to show the electron flow of the given reaction can be represented as

It is an example of heterolytic cleavage as the bond breaks in such a manner that the shared pair of electrons remains with the bromine ion. The reaction intermediate formed is a carbocation.
(d) The bond cleavage using curved-arrows to show the electron flow of the given reaction can be represented as

It is a heterolytic cleavage as the bond breaks in such a manner that the shared pair of electrons remains with one of the fragments. The intermediate formed is a carbocation.
Q.17. Explain the terms Inductive and Electromeric effects. Which electron displacement effect explains the following correct orders of acidity of the carboxylic acids?
(a) Cl3CCOOH > Cl2CHCOOH > ClCH2COOH
(b) CH3CH2COOH > (CH3)2CHCOOH > (CH3)3C.COOH
Ans:
Inductive effect
The permanent displacement of sigma (σ) electrons along a saturated chain, whenever an electron withdrawing or electron donating group is present, is called inductive effect.
Inductive effect could be + I effect or – I effect. When an atom or group attracts electrons towards itself more strongly than hydrogen, it is said to possess – I effect. For example,

When an atom or group attracts electrons towards itself less strongly than hydrogen, it is said to possess + I effect. For example,

Electrometric effect
It involves the complete transfer of the shared pair of π electrons to either of the two atoms linked by multiple bonds in the presence of an attacking agent. For example,

Electrometric effect could be + E effect or – E effect.
+ E effect: When the electrons are transferred towards the attacking reagent
– E effect: When the electrons are transferred away from the attacking reagent
(a) Cl3CCOOH > Cl2CHCOOH > ClCH2COOH
The order of acidity can be explained on the basis of Inductive effect (– I effect). As the number of chlorine atoms increases, the – I effect increases. With the increase in – I effect, the acid strength also increases accordingly.

(b) CH3CH2COOH > (CH3)2 CHCOOH > (CH3)3 C.COOH
The order of acidity can be explained on the basis of inductive effect (+ I effect). As the number of alkyl groups increases, the + I effect also increases. With the increase in + I effect, the acid strength also increases accordingly.

Q.18. Give a brief description of the principles of the following techniques taking an example in each case.
(a) Crystallisation
(b) Distillation
(c) Chromatography
Ans:
(a) Crystallisation
Crystallisation is one of the most commonly used techniques for the purification of solid organic compounds.
Principle: It is based on the difference in the solubilities of the compound and the impurities in a given solvent. The impure compound gets dissolved in the solvent in which it is sparingly soluble at room temperature, but appreciably soluble at higher temperature. The solution is concentrated to obtain a nearly saturated solution. On cooling the solution, the pure compound crystallises out and is removed by filtration.
For example, pure aspirin is obtained by recrystallising crude aspirin. Approximately 2 – 4 g of crude aspirin is dissolved in about 20 mL of ethyl alcohol. The solution is heated (if necessary) to ensure complete dissolution. The solution is then left undisturbed until some crystals start to separate out. The crystals are then filtered and dried.
(b) Distillation
This method is used to separate volatile liquids from non-volatile impurities or a mixture of those liquids that have a sufficient difference in their boiling points.
Principle: It is based on the fact that liquids having different boiling points vapourise at different temperatures. The vapours are then cooled and the liquids so formed are collected separately.
For example, a mixture of chloroform (b.p. = 334 K) and aniline (b.p. = 457 K) can be separated by the method of distillation. The mixture is taken in a round bottom flask fitted with a condenser. It is then heated. Chloroform, being more volatile, vaporizes first and passes into the condenser. In the condenser, the vapours condense and chloroform trickles down. In the round bottom flask, aniline is left behind.
(c) Chromatography
It is one of the most useful methods for the separation and purification of organic compounds.
Principle: It is based on the difference in movement of individual components of a mixture through the stationary phase under the influence of mobile phase.
For example, a mixture of red and blue ink can be separated by chromatography. A drop of the mixture is placed on the chromatogram. The component of the ink, which is less adsorbed on the chromatogram, moves with the mobile phase while the less adsorbed component remains almost stationary.
Q.19. Describe the method, which can be used to separate two compounds with different solubilities in a solvent S.
Ans:
Fractional crystallisation is the method used for separating two compounds with different solubilities in a solvent S. The process of fractional crystallisation is carried out in four steps.
(a) Preparation of the solution: The powdered mixture is taken in a flask and the solvent is added to it slowly and stirred simultaneously. The solvent is added till the solute is just dissolved in the solvent. This saturated solution is then heated.
(b) Filtration of the solution: The hot saturated solution is then filtered through a filter paper in a China dish.
(c) Fractional crystallisation: The solution in the China dish is now allowed to cool. The less soluble compound crystallises first, while the more soluble compound remains in the solution. After separating these crystals from the mother liquor, the latter is concentrated once again. The hot solution is allowed to cool and consequently, the crystals of the more soluble compound are obtained.
(d) Isolation and drying: These crystals are separated from the mother liquor by filtration. Finally, the crystals are dried.
Q.20. What is the difference between distillation, distillation under reduced pressure and steam distillation ?
Ans:
The differences among distillation, distillation under reduced pressure,
and steam distillation are given in the following table.
|
Distillation |
Distillation under reduced pressure |
Steam distillation |
|
|
1. |
It is used for the purification of compounds that are associated with non-volatile impurities or those liquids, which do not decompose on boiling. In other words, distillation is used to separate volatile liquids from non-volatile impurities or a mixture of those liquids that have sufficient difference in boiling points. |
This method is used to purify a liquid that tends to decompose on boiling. Under the conditions of reduced pressure, the liquid will boil at a low temperature than its boiling point and will, therefore, not decompose. |
It is used to purify an organic compound, which is steam volatile and immiscible in water. On passing steam, the compound gets heated up and the steam gets condensed to water. After some time, the mixture of water and liquid starts to boil and passes through the condenser. This condensed mixture of water and liquid is then separated by using a separating funnel. |
|
2. |
Mixture of petrol and kerosene is separated by this method. |
Glycerol is purified by this method. It boils with decomposition at a temperature of 593 K. At a reduced pressure, it boils at 453 K without decomposition. |
A mixture of water and aniline is separated by steam distillation. |
Q.21. Discuss the chemistry of Lassaigne’s test.
Ans:
Lassaigne’s test
This test is employed to detect the presence of nitrogen, sulphur, halogens, and phosphorous in an organic compound. These elements are present in the covalent form in an organic compound. These are converted into the ionic form by fusing the compound with sodium metal.

The cyanide, sulphide, and halide of sodium formed are extracted from the fused mass by boiling it in distilled water. The extract so obtained is called Lassaigne’s extract. This Lassaigne’s extract is then tested for the presence of nitrogen, sulphur, halogens, and phosphorous.
(a) Test for nitrogen

Chemistry of the test
In the Lassaigne’s test for nitrogen in an organic compound, the sodium fusion extract is boiled with iron (II) sulphate and then acidified with sulphuric acid. In the process, sodium cyanide first reacts with iron (II) sulphate and forms sodium hexacyanoferrate (II). Then, on heating with sulphuric acid, some iron (II) gets oxidised to form iron (III) hexacyanoferrate (II), which is Prussian blue in colour. The chemical equations involved in the reaction can be represented as

(b) Test for sulphur

Chemistry of the test
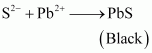
In the Lassaigne’s test for sulphur in an organic compound, the sodium fusion extract is acidified with acetic acid and then lead acetate is added to it. The precipitation of lead sulphide, which is black in colour, indicates the presence of sulphur in the compound.


Chemistry of the test
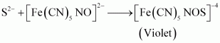
The sodium fusion extract is treated with sodium nitroprusside. Appearance of violet colour also indicates the presence of sulphur in the compound.

If in an organic compound, both nitrogen and sulphur are present, then instead of NaCN, formation of NaSCN takes place.
Na + C + N + S → NaSCN
This NaSCN (sodium thiocyanate) gives a blood red colour. Prussian colour is not formed due to the absence of free cyanide ions.

(c) Test for halogens

Chemistry of the test
In the Lassaigne’s test for halogens in an organic compound, the sodium fusion extract is acidified with nitric acid and then treated with silver nitrate.

If nitrogen and sulphur both are present in the organic compound, then the Lassaigne’s extract is boiled to expel nitrogen and sulphur, which would otherwise interfere in the test for halogens.
Q.22. Differentiate between the principle of estimation of nitrogen in an organic compound by (i) Dumas method and (ii) Kjeldahl’s method.
Ans:
In Dumas method, a known quantity of nitrogen containing organic compound is heated strongly with excess of copper oxide in an atmosphere of carbon dioxide to produce free nitrogen in addition to carbon dioxide and water. The chemical equation involved in the process can be represented as

The traces of nitrogen oxides can also be produced in the reaction, which can be reduced to dinitrogen by passing the gaseous mixture over a heated copper gauge. The dinitrogen produced is collected over an aqueous solution of potassium hydroxide. The volume of nitrogen produced is then measured at room temperature and atmospheric pressure.
On the other hand, in Kjeldahl’s method, a known quantity of nitrogen containing organic compound is heated with concentrated sulphuric acid. The nitrogen present in the compound is quantitatively converted into ammonium sulphate. It is then distilled with excess of sodium hydroxide. The ammonia evolved during this process is passed into a known volume of H2SO4. The chemical equations involved in the process are

The acid that is left unused is estimated by volumetric analysis (titrating it against a standard alkali) and the amount of ammonia produced can be determined. Thus, the percentage of nitrogen in the compound can be estimated. This method cannot be applied to the compounds, in which nitrogen is present in a ring structure, and also not applicable to compounds containing nitro and azo groups.
Q.23. Discuss the principle of estimation of halogens, sulphur and phosphorus present in an organic compound.
Ans:
Estimation of halogens
Halogens are estimated by the Carius method. In this method, a known quantity of organic compound is heated with fuming nitric acid in the presence of silver nitrate, contained in a hard glass tube called the Carius tube, taken in a furnace. Carbon and hydrogen that are present in the compound are oxidized to form CO2 and H2O respectively and the halogen present in the compound is converted to the form of AgX. This AgX is then filtered, washed, dried, and weighed.
Let the mass of organic compound be m g.
Mass of AgX formed = m1 g
1 mol of AgX contains 1 mol of X.
Therefore,
Mass of halogen in m1 g
of AgX 

Estimation of Sulphur
In this method, a known quantity of organic compound is heated with either fuming nitric acid or sodium peroxide in a hard glass tube called the Carius tube. Sulphur, present in the compound, is oxidized to form sulphuric acid. On addition of excess of barium chloride to it, the precipitation of barium sulphate takes place. This precipitate is then filtered, washed, dried, and weighed.
Let the mass of organic compound be m g.
Mass of BaSO4 formed = m1 g
1 mol of BaSO4 = 233 g BaSO4 = 32 g of Sulphur
Therefore, m1 g
of BaSO4 contains 

Estimation of phosphorus
In this method, a known quantity of organic compound is heated with fuming nitric acid. Phosphorus, present in the compound, is oxidized to form phosphoric acid. By adding ammonia and ammonium molybdate to the solution, phosphorus can be precipitated as ammonium phosphomolybdate.
Phosphorus can also be estimated by precipitating it as MgNH4PO4 by adding magnesia mixture, which on ignition yields Mg2P2O7.
Let the mass of organic compound be m g.
Mass of ammonium phosphomolybdate formed = m1 g
Molar mass of ammonium phosphomolybdate = 1877 g

If P is estimated as Mg2P2O7,

Q.24. Explain the principle of paper chromatography.
Ans:
In paper chromatography, chromatography paper is used. This paper contains water trapped in it, which acts as the stationary phase. On the base of this chromatography paper, the solution of the mixture is spotted. The paper strip is then suspended in a suitable solvent, which acts as the mobile phase. This solvent rises up the chromatography paper by capillary action and in the procedure, it flows over the spot. The components are selectively retained on the paper (according to their differing partition in these two phases). The spots of different components travel with the mobile phase to different heights. The paper so obtained (shown in the given figure) is known as a chromatogram.

Q.25. Why is nitric acid added to sodium extract before adding silver nitrate for testing halogens?
Ans:
While testing the Lassaigne’s extract for the presence of halogens, it is first boiled with dilute nitric acid. This is done to decompose NaCN to HCN and Na2S to H2S and to expel these gases. That is, if any nitrogen and sulphur are present in the form of NaCN and Na2S, then they are removed. The chemical equations involved in the reaction are represented as

Q.26. Explain the reason for the fusion of an organic compound with metallic sodium for testing nitrogen, sulphur and halogens.
Ans:
Nitrogen, sulphur, and halogens are covalently bonded in organic compounds. For their detection, they have to be first converted to ionic form. This is done by fusing the organic compound with sodium metal. This is called “Lassaigne’s test”. The chemical equations involved in the test are

Carbon, nitrogen, sulphur, and halogen come from organic compounds.
Q.27. Name a suitable technique of separation of the components from a mixture of calcium sulphate and camphor.
Ans:
The process of sublimation is used to separate a mixture of camphor and calcium sulphate. In this process, the sublimable compound changes from solid to vapour state without passing through the liquid state. Camphor is a sublimable compound and calcium sulphate is a non-sublimable solid. Hence, on heating, camphor will sublime while calcium sulphate will be left behind.
Q.28. Explain, why an organic liquid vaporises at a temperature below its boiling point in its steam distillation?
Ans:
In steam distillation, the organic liquid starts to boil when the sum of vapour pressure due to the organic liquid (p1) and the vapour pressure due to water (p2) becomes equal to atmospheric pressure (p), that is, p = p1 + p2
Since p1 < p2, organic liquid will vapourise at a lower temperature than its boiling point.
Q.29. Will CCl4 give white precipitate of AgCl on heating it with silver nitrate? Give reason for your answer.
Ans:
CCl4 will not give the white precipitate of AgCl on heating it with silver nitrate. This is because the chlorine atoms are covalently bonded to carbon in CCl4. To obtain the precipitate, it should be present in ionic form and for this, it is necessary to prepare the Lassaigne’s extract of CCl4.
Q.30. Why is a solution of potassium hydroxide used to absorb carbon dioxide evolved during the estimation of carbon present in an organic compound?
Ans:
Carbon dioxide is acidic in nature and potassium hydroxide is a strong base. Hence, carbon dioxide reacts with potassium hydroxide to form potassium carbonate and water as

Thus, the mass of the U-tube containing KOH increases. This increase in the mass of U-tube gives the mass of CO2 produced. From its mass, the percentage of carbon in the organic compound can be estimated.
Q.31. Why is it necessary to use acetic acid and not sulphuric acid for acidification of sodium extract for testing sulphur by lead acetate test?
Ans:
Although the addition of sulphuric acid will precipitate lead sulphate, the addition of acetic acid will ensure a complete precipitation of sulphur in the form of lead sulphate due to common ion effect. Hence, it is necessary to use acetic acid for acidification of sodium extract for testing sulphur by lead acetate test.
Q.32. An organic compound contains 69% carbon and 4.8% hydrogen, the remainder being oxygen. Calculate the masses of carbon dioxide and water produced when 0.20 g of this substance is subjected to complete combustion.
Ans:
Percentage of carbon in organic compound = 69 %
That is, 100 g of organic compound contains 69 g of carbon.
∴0.2 g of organic compound will contain

Molecular mass of carbon dioxide, CO2 = 44 g
That is, 12 g of carbon is contained in 44 g of CO2.
Therefore, 0.138 g of carbon will
be contained in
=
0.506 g of CO2
Thus, 0.506 g of CO2 will be produced on complete combustion of 0.2 g of organic compound.
Percentage of hydrogen in organic compound is 4.8.
i.e., 100 g of organic compound contains 4.8 g of hydrogen.
Therefore, 0.2 g of organic
compound will contain
It is known that molecular mass of water (H2O) is 18 g.
Thus, 2 g of hydrogen is contained in 18 g of water.
∴0.0096 g of hydrogen will be contained in
of
water
Thus, 0.0864 g of water will be produced on complete combustion of 0.2 g of the organic compound.
Q.33. A sample of 0.50 g of an organic compound was treated according to Kjeldahl’s method. The ammonia evolved was absorbed in 50 mL of 0.5 M H2SO4. The residual acid required 60 mL of 0.5 M solution of NaOH for neutralisation. Find the percentage composition of nitrogen in the compound.
Ans:
Given that, total mass of organic compound = 0.50 g
60 mL of 0.5 M solution of NaOH was required by residual acid for neutralisation.
60 mL of 0.5 M NaOH solution
H2SO4 =
30 mL of 0.5 M H2SO4
∴Acid consumed in absorption of evolved ammonia is (50–30) mL = 20 mL
Again, 20 mL of 0.5 MH2SO4 = 40 mL of 0.5 MNH3
Also, since 1000 mL of 1 MNH3 contains 14 g of nitrogen,
∴ 40 mL of 0.5 M NH3 will contain
=
0.28 g of N
Therefore, percentage of nitrogen
in 0.50 g of organic compound
=
56 %
Q.34. 0.3780 g of an organic chloro compound gave 0.5740 g of silver chloride in Carius estimation. Calculate the percentage of chlorine present in the compound.
Ans:
Given that,
Mass of organic compound is 0.3780 g.
Mass of AgCl formed = 0.5740 g
1 mol of AgCl contains 1 mol of Cl.
Thus, mass of chlorine in 0.5740 g of AgCl

∴ Percentage of chlorine 

Hence, the percentage of chlorine
present in the given organic chloro compound is
.
Q.35. In the estimation of sulphur by Carius method, 0.468 g of an organic sulphur compound afforded 0.668 g of barium sulphate. Find out the percentage of sulphur in the given compound.
Ans:
Total mass of organic compound = 0.468 g [Given]
Mass of barium sulphate formed = 0.668 g [Given]
1 mol of BaSO4 = 233 g of BaSO4 = 32 g of sulphur
Thus, 0.668 g of BaSO4 contains
of
sulphur = 0.0917 g of sulphur
Therefore, percentage of
sulphur
=
19.59 %
Hence, the percentage of sulphur in the given compound is 19.59 %.
Q.36. In the organic compound CH2=CH–CH2–CH2–C≡CH, the pair of hybridised orbitals involved in the formation of: C2 – C3 bond is:
(a) sp – sp2(b) sp – sp3(c) sp2 – sp3 (d) sp3– sp3
Ans:

In the given organic compound, the carbon atoms numbered as 1, 2, 3, 4, 5, and 6 are sp, sp, sp3, sp3, sp2, and sp2 hybridized respectively. Thus, the pair of hybridized orbitals involved in the formation of C2-C3 bond is sp – sp3.
Q.37. In the Lassaigne’s test for nitrogen in an organic compound, the Prussian blue colour is obtained due to the formation of:
(a) Na4[Fe(CN)6]
(b) Fe4[Fe(CN)6]3
(c) Fe2[Fe(CN)6]
(d) Fe3[Fe(CN)6]4
Ans:
In the Lassaigne’s test for nitrogen in an organic compound, the sodium fusion extract is boiled with iron (II) sulphate and then acidified with sulphuric acid. In the process, sodium cyanide first reacts with iron (II) sulphate and forms sodium hexacyanoferrate (II). Then, on heating with sulphuric acid, some iron (II) gets oxidised to form iron (III) hexacyanoferrate (II), which is Prussian blue in colour. The chemical equations involved in the reaction can be represented as

Hence, the Prussian blue colour is due to the formation of Fe4[Fe(CN)6]3.
Q.38. Which of the following carbocation is most stable?
(a) 
(b) 
(c) 
(d) 
Ans:
is a tertiary carbocation. A tertiary carbocation is
the most stable carbocation due to the electron releasing effect of three
methyl groups. An increased + I effect by three methyl groups stabilizes the
positive charge on the carbocation.
Q.39. The best and latest technique for isolation, purification and separation of organic compounds is:
(a) Crystallisation
(b) Distillation
(c) Sublimation
(d) Chromatography
Ans:
Chromatography is the most useful and the latest technique of separation and purification of organic compounds. It was first used to separate a mixture of coloured substances.
Q.40. The reaction:

is classified as :
(a) electrophilic substitution
(b) nucleophilic substitution
(c) elimination (d) addition
Ans:

It is an example of nucleophilic substitution reaction. The hydroxyl group of KOH (OH–) with a lone pair of itself acts as a nucleophile and substitutes iodide ion in CH3CH2I to form ethanol.
Online Tuitions & Self-Study Courses for Grade 6 to 12 & JEE / NEET
